补充维生素D可以降低乳腺癌风险?
我们都知道维生素D对我们的身体健康很重要,足量的维生素D能够保证人体对钙的吸收,保证骨骼健康和其它很多基本生命功能。小儿缺乏维生素D会引发惊厥和佝偻病。那么维生素D到底与乳腺癌是个什么关系呢?
维生素D是一种脂溶性维生素,合成前体为胆固醇,合成分为两步,分别在皮肤和肾脏。
7-脱氧胆固醇 维生素D3
维生素D水平与地区环境和地理有关,纬度较低的地区日照量大(角度为直角),海拔较高的区域紫外线强度较大,这两个因素都会促进皮肤合成更多维生素D。此外,肤色深浅也会对维生素D水平有影响。黑人女性肤色较深,接受同等日照,合成的维生素D量较少(紫外线被黑色素吸收)。因此,同一地区生活的黑人女性比白人女性体内维生素D水平要低很多。
一个关于黑人健康的前瞻性研究显示维生素D水平最高的组别与最低组别的乳腺癌发病率比例是1.23 (95%置信区间1.04, 1.46)。另一个研究显示,在给予2000IU/天的维生素D3后,黑人受试者的总体癌症发病率降低了23%。乳腺癌是唯一一个诊断率有明显季节性差异的癌症,在春天和秋天明显较高,这其中被认为有维生素D的影响。
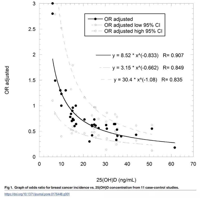
多个观察性研究得出维生素D水平与肿瘤发生呈负相关的结论,包括乳腺癌、结直肠癌、肾癌、肺癌、胰腺癌、消化道肿瘤和总体癌症发生率。在一篇维生素D水平与癌症发生率的综述文章中,William B. Grant总结了11个病例对照研究,得出了维生素D与乳腺癌发生率关系的R值为0.907。
在基础医学/分子机制上对这一现象的解释包括维生素D能够影响上皮细胞的结构,保持上皮细胞的健康,此外还有降低肿瘤血管生成、对抗肿瘤转移和监视肿瘤的作用。乳腺癌正是由于乳腺导管上皮细胞恶变而形成,而在皮肤表皮细胞被合成的维生素D对上皮细胞有保护作用,也是情理之中。
成年人每日的维生素D的推荐摄取量为5微克。与大多数靠吃饭就能摄取的营养物质不同,天然食物中维生素D含量通常较低。传统概念里,很有营养的瘦肉、奶类中,也只含有微量维生素D;更不要提谷物、蔬菜、水果等植物性食材,几乎不含维生素D。
就算是维生素D相对含量丰富的海产鱼类、蛋类、肝脏等食物,也远远满足不了每天至少400 IU的维生素D摄入量。毕竟,一个蛋黄中大约只有 25 IU(国际单位)的维生素D。补充维生素D的唯一天然方法就是晒太阳。如需服用维生素D片剂,应注意适量,因为过量摄取会造成毒性。
维生素D与乳腺癌的关系就说到这里,后续还会持续带来营养与癌症相关的研究。
收藏
回复(25)参与评论
评论列表
绣球 1512






