干货 | 2019,中国癌症患者需要知道的PD-1/PD-L1用药信息大盘点!

PD-1/PD-L1免疫疗法(immunotherapy)是当前备受全世界瞩目、正掀起肿瘤治疗的革命,引领癌症治疗的变革,为患者带来新的希望的新一类抗癌免疫疗法,旨在充分利用人体自身的免疫系统抵御、抗击癌症,通过阻断PD-1/PD-L1信号通路使癌细胞死亡,具有治疗多种类型肿瘤的潜力,实质性改善患者总生存期。

如在黑色素瘤患者的临床试验中,50%的患者在12个月内死亡,使用PD-1和CTLA-4的的患者70%能存活3年以上。
已上市的PD-1
截止目前,已有6种PD-1抑制剂在欧美几十个国家上市,包括3种PD-1抗体和3种PD-L1抗体。分别是:
Nivolumab(商品名Opdivo,简称O药);
Pembrolizumab(商品名Keytruda,简称K药);
Cemiplimab-rwlc(Libtayo);
Atezolizumab(商品名Tecentriq,简称T药);
Avelumab(商品名Bavencio,简称B药);
Durvalumab(商品名Imfinzi,简称I药)。
在国内上市的分别是Opdivo和keytruda。
2018年是振奋人心的一年,两大PD-1治疗药物欧狄沃(Opdivo)、可瑞达(Keytruda)进入中国,并且在国内的价格已经有所下降,紧接着两大国产PD-1药物--特瑞普利单抗(拓益)、信迪利单抗(达伯舒)上市,7200元/支的价格可谓全球最低,让国内患者真正的看到了希望,中国的患者终于迎来了真正的免疫治疗元年!全球肿瘤医生网医学部将药物用药信息总结如下,供病友们参考。
药品名称

生产商

作用靶点

FDA批准的适应症

上市时间
使用周期

使用剂量

剂型规格

全球比价

国内上市PD-1
通用名 | 特瑞普利单抗 | 信迪利单抗 | ||
商品名 | 可瑞达 | 欧狄沃 | 拓益 | 达伯舒 |
上市时间 | 2018年7月 | 2018年6月 | 2018年12月 | 2018年12月 |
适应症 | 黑色素瘤 | 非小细胞肺癌 | 黑色素瘤 | 经典型霍奇金淋巴瘤 |
价格 | 17918元 | 9260元 | 7200 | -- |
关于PD-1癌症患者必须要知道的七点!
一、PD-1抑制剂的疗效如何?
在绝大多数、未经挑选的实体瘤中,单独使用PD-1抑制剂的有效率,其实并不高:10%-30%左右。唯一的例外,是经典型霍奇金淋巴瘤,有效率突破60%以上。
PD-1抑制剂有效率偏低,为何学术界和癌友圈还如此疯狂和痴迷呢?主要的原因是:PD-1抑制剂疗效的持久性。由于免疫系统具有记忆功能,因此一旦PD-1抑制剂起效,其中部分病友实现临床治愈,也就是说五年、十年不复发、不进展、长期生存。尤其是较早的恶性黑色瘤、肾癌以及非小细胞肺癌中,都已经观察到了类似的现象:PD-1抑制剂的出现,将晚期恶性黑色素瘤和晚期非小细胞肺癌的生存率提高了数倍:晚期恶性黑色素瘤的5年生存率从15%左右,提高到了35%上下;而晚期非小细胞肺癌的5年生存率从5%左右,提高到了15%上下!
此外,通过联合治疗,把原来不适合PD-1抑制剂治疗的病人,转化为可以从中获益的人群也可以提高治疗效果。目前,PD-1抑制剂主流的搭档有如下几个:
(1) 联合另一个免疫治疗药物:PD-1抑制剂联合CTLA-4抗体,已经被批准用于恶性黑色素瘤;在肾癌、TMB高的非小细胞肺癌中三期临床试验已经成功。此外,IDO抑制剂、TIM-3抑制剂、LAG-3抗体等新型的免疫治疗新药,正在研发中。
(2) 联合化疗:PD-1抑制剂联合化疗,已经被批准用于晚期非鳞非小细胞肺癌一线治疗;类似的方案,用于胃癌、肠癌、三阴性乳腺癌等也有不错的初步数据。
(3) 联合放疗:PD-1抑制剂联合放疗,在肺癌、恶性黑色素瘤等肿瘤中,已有不错的数据;回顾性研究甚至提示,放疗联合PD-1抑制剂,可以将生存期提高数倍。
(4) 联合靶向药:PD-1抑制剂联合抗血管生成的靶向药(贝伐、阿西替尼、乐伐替尼、卡博替尼等),已有不错的初步数据;但联合EGFR抑制剂(如易瑞沙、特罗凯、凯美钠、阿法替尼、泰瑞沙等),需要当心,可能发生严重的副作用。
(5) 联合溶瘤病毒:PD-1抑制剂联合溶瘤病毒T-VEC,在恶性黑色素瘤中,有效率超70%,完全缓解率突破30%,非常有前景。在其他肿瘤中,多种溶瘤病毒正在研发中。
(6) 联合个性化肿瘤疫苗:基于肿瘤基因突变所产生的新生抗原(neoantigen),可以设计和合成多肽或RNA疫苗。PD-1抗体联合这类私人订制、个性化肿瘤疫苗,已经有初步的成功经验,可以预防肿瘤复发,可以初步临床治愈晚期肿瘤。
(7) 联合特异性肿瘤免疫细胞治疗:PD-1抑制剂联合CAR-T等新型的特异性肿瘤免疫细胞治疗,在血液肿瘤中,已有初步的、不俗的数据。
二、五种PD-1疗效的预测因子
购买PD-1药仍是一笔很大的开支,但最最让人心塞的是,有些患者花了这么多钱,却没有得到较好的治疗效果。临床研究表明,只有约20%的患者能从PD-1药物中获益,换一句话说,那些不能获益的患者钱白花了。我们总结了最近关于预测PD-1疗效的相关研究,找出以下五种预测因子,希望能够帮助患者节约时间和金钱。
1、PD-L1表达水平
PD-1与PD-L1如同一对“情侣”,其中PD-1位于免疫细胞的表面,而PD-L1则位于肿瘤细胞的表面。这对“情侣”一旦结合,负责杀伤肿瘤细胞的免疫细胞就会把肿瘤细胞当作“朋友”,从而不再对其进行攻击。
研究发现,当肿瘤细胞表面有PD-L1的表达,那么使用PD-1抑制剂或者PD-L1抑制剂抑制肿瘤的概率就会增加,所以,肿瘤组织中PD-L1的表达情况,就成为预测PD-1/PD-L1抑制剂有效率的一个指标。
高表达PD-L1的患者使用PD-1药物效果较好。
PD-1表达程度
高表达(≥50%)
表达(≥1%)
不表达(<1%)
如何准确检测PD-L1表达结果,可致电全球肿瘤医生网医学部获得方案(400-666-7998)
2、肿瘤突变负荷(TMB)
TMB是一种定量的生物标志物,它表示了人体内每百万个碱基中发生错误的数量。具有高TMB的肿瘤细胞具有较高的新抗原水平,这被认为可以帮助免疫系统识别肿瘤并刺激抗肿瘤T细胞的增殖和抗肿瘤反应。
《新英格兰医学杂志》曾发表过一个有趣的数据,作者将TMB及PD-1治疗有效率的临床结果,汇成一张图,结果显示:各大常见肿瘤接受PD-1治疗的有效率和TMB大小几乎是线性关系。
TMB越大,PD-1药有效率就越高。

而《Nature》子刊近日发表了一项重要的研究结果,美国纪念斯隆-凯特琳癌症中心(简称MSKCC)的研究人员发现肿瘤突变负荷(tumor mutational burden,TMB)是可以预测哪些患者最适合采用免疫检查点抑制剂治疗。研究人员在众多类型的癌症中发现一个普遍现象:癌细胞的突变水平越高,患者接受检查点抑制剂治疗后的生存率越高。
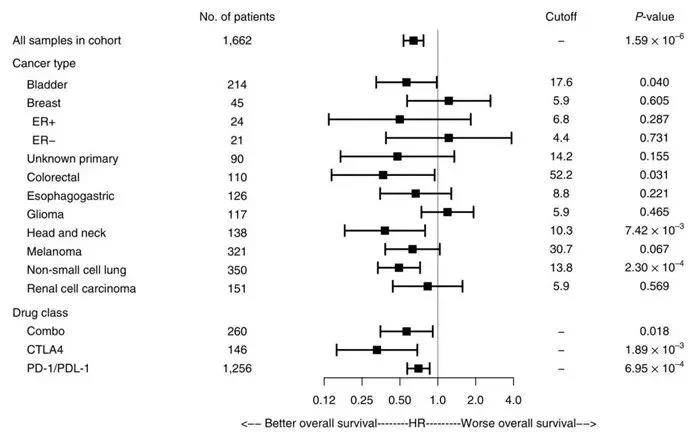
在所有患者中,较高的体细胞TMB(即每个组织学中最高的那20%)与更好的总体存活率相关(图中蓝色和绿色曲线)。

各类癌症类型中,TMB越高,患者接受免疫检查点抑制剂后的整体生存率越高
对于大多数癌症组织学,研究人员观察到较高TMB和改善的存活之间的关联,可改善生存期的TMB切点值在不同癌症类型之间存在显著不同的差异,也就是说,不同的癌症类型,预测免疫治疗效果的TMB值是不同的。

对不同种类的癌症和不同的用药方案分类分析,不同癌种TMB取值差异较大
(依次分别是:全部样本;膀胱癌、乳腺癌(ER+、ER-)、不明原发灶癌、结直肠癌、食管癌、神经胶质瘤、头颈癌、黑色素瘤、非小细胞肺癌、肾癌;联合治疗、CTLA4类、PD1/PD-L1类)
研究至此,基本已经确定了TMB与免疫治疗、患者存活率之间的关系-TMB高,免疫治疗生存率高!
那TMB是多少时才能算高呢?
一般认为
高:TMB>20突变/Mb
(Mb代表的是每百万个碱基)
低:TMB<10突变/Mb
3、高微卫星不稳定性(MSI-H)
目前获得FDA批准认可的免疫治疗标记物有MSI(dMMR)和PD-L1,可以评估免疫治疗药物用药获益与否。
微卫星是我们人体基因中的一小段DNA片段。DNA中的碱基对可能由于走丢了或者没站对位置导致这条队伍出现了问题,也就形成了微卫星不稳定性。而这种没排好队的DNA片段常常出现在肿瘤组织中,我们将其称之为MSI-H。
带有MSI-H变异的肿瘤分布非常广泛,出现在结直肠癌、子宫内膜癌、胃癌、肝细胞癌、卵巢癌、子宫颈癌、肾细胞癌、肺癌、前列腺癌、乳腺癌、膀胱癌等多个癌种中。也就是说,上述MSI-H肿瘤患者均可能从PD-1药物中获益。
4、肿瘤浸润T细胞含量
PD-1/PD-L1治疗的根本在于激活T细胞,使其更好地对抗肿瘤。但如果肿瘤微环境中毫无T细胞的踪影,那么PD-1药物还能发挥作用吗?
已有相关报道,免疫治疗的效果和肿瘤是否被免疫细胞浸润有关,若是肿瘤中无肿瘤浸润T细胞,PD-1药物将毫无用武之地。所以,肿瘤组织中有丰富的T细胞,那它对免疫疗法的响应较高。
5、中性粒细胞-淋巴细胞比率(NLR)
NLR是指血常规中性粒细胞与其它淋巴细胞计数的比值,它是全身性炎症的标志物,并且与各种癌症患者的临床收益相关。
它还是预测癌症患者在化疗和分子靶向治疗中疗效的生物标志物。NLR高的癌症患者,无进展生存期(PFS)和总生存期(OS)较短;NLR低的患者,PFS和OS较长。
目前已经有很多证据显示,NLR<3的患者接受Opdivo治疗有更好的治疗结果,反之,疗效则会大打折扣,生存期明显缩短。
最重要的是,NLR是血常规检测中的一项指标,在全国绝大多数医院,抽静脉血查血常规收费在20元左右,既便宜又能有效地预测PD-1疗效!
三、在什么情况下可以考虑除适应证外应用PD-1/PD-L1单抗?
国家卫健委特别强调了超适应证使用的问题,国家批准应用的适应症,才能在临床上使用。如果国家不批,医生在临床上使用,叫超适应证使用,这是没有法律保护的。超适应症用药在法律法规层面上是违反了国家规定。
另外,获批适应证也关系到一个药物会不会很快进入医保,也牵涉到一个慈善供药的问题。中国各大药厂都推出了慈善供药的政策,如患者用够几个疗程以后,如果有效就可以免费用药。而且,一定是在这个药物的适应症之内才能推出慈善供药。
但是,如果一个药在国际上已经有临床试验结果,国际上也已经有药品监管部门批准了适应证,而中国因为各种情况,导致药物已经上市但某些适应证还没有获批,在这种特殊情况下使用是可以的。但是,如果一个药在国外没有获批适应证,在国内也没有获批适应证,这是不可以在临床上使用的。即使是病人要求,医生也不应该答应。
根据卫健委2018年9月发布新型抗肿瘤药物临床应用指导原则(2018年版),中国肿瘤病人在“特殊情况下"也可以获得创新药物的治疗,这时候医生在特定情况下使用PD-1单抗,就不会犯法,否则就是犯法了。
四、PD-1是否会引发免疫风暴?
PD-1常见副作用就是皮疹、发热等,常见的流感样症状包括,退烧、止痛、多休息等,对症治疗即可。
免疫性炎症,如肺炎、肝炎、肠炎等:需要酌情加上口服或静脉的糖皮质激素,如地塞米松、泼尼松、甲强龙等,对于病情较重的,还需要加上环磷酰胺、霉纷酸脂等免疫抑制剂。
发生细胞因子风暴的患者:需要及时使用IL-6抗体,托珠单抗。
用药前的评估,需要找有经验的医生来做,这点非常重要!
五、如果PD-1起效,应该用多长时间?
目前国内外的标准方案是:手术或同步放化疗后,巩固性、辅助性使用的病友,PD-1抑制剂建议用满1年;而晚期的、全身转移的患者,建议用满2年。若使用PD-1抑制剂满6个月,且肿瘤缩小达到完全缓解、部分缓解(肿瘤缩小超过30%以上)的病友,可以再巩固2-3次后,酌情停药或调整剂量和间隔。
六、PD-1抑制剂耐药后该怎么办?
对PD-1抑制剂有效的患者,一般来说,疗效较持久;但是,大概有30%左右的患者,会出现疾病的耐药。克服耐药的对策主要包括以下两个。
1、可以通过对新增的或者不断增大的耐药部位,进行穿刺活检和深入的免疫分析,找到耐药的原因,根据原因治疗。比如,有的病人是由于TIM-3、LAG-3或IDO代偿性高表达;那么选择,PD-1抑制剂联合TIM-3抑制剂、LAG-3抗体、IDO抑制剂,就是最好的治疗方案。
2、对于不能明确耐药原因的患者,可以结合具体病情,选择最佳的联合搭档,逆转耐药,延长生存期;或者,更换为放化疗、介入、射频、粒子植入等传统治疗。
七、患者使用前需要注意哪些事项?
首先,如下病人不适合、不建议尝试PD-1抑制剂:病情进入终末期、卧床不起的病人;有急性细菌感染,尚未控制的病人;做过肝移植、肾移植的病人;有系统性红斑狼疮、白塞病、干燥综合征、血管炎等自身免疫病,尚未控制的病人;携带MDM2扩增、EGFR突变、JAK突变等病人等(有些患者可以首选靶向治疗)。
其次,使用PD-1抑制剂前,一般建议完善如下检查,基本正常,然后再使用:血常规、肝肾功、电解质、凝血、甲状腺功能,心电图、腹部B超、胸部X线。
最后,也是最重要的一点:越来越多的证据支持,PD-1抑制剂这类免疫治疗,应该在患者一般情况比较好,肿瘤负荷比较小的时候,尽早用。
(直接点击下方题目即可查看)
文章授权于无癌家园,未经允许请勿转载
责任排版:互助君
封面图片来源:摄图网正版图库

收藏
回复(0)参与评论
评论列表






