乳腺癌转移的秘密,居然在你的肚子里?! | 乳腺癌资讯
01
肠道菌群:失调增加激素受体阳性乳腺癌患者的侵袭性!
乳腺癌是女性最常见的肿瘤之一,其中约65%的乳腺癌患者的激素受体呈现阳性。在经过内分泌治疗之后,许多患者都能获得良好的预后,但也有一部分患者会在标准内分泌治疗5年之后仍然存在长期的复发风险。最近来自美国弗吉尼亚大学的研究发现,肠道菌群失调可能会让这些患者的肿瘤更具侵袭性。

图 1.0 研究发表在Cancer Res
这项研究使用了激素受体阳性的乳腺癌小鼠模型,证明了在肿瘤发生之前的肠道菌群失调与循环肿瘤细胞数量的增加有关,同时这也与随后的引流淋巴结在乳腺癌转移以及乳腺癌的肺转移有关,表明肠道菌群失调的确与激素样阳性乳腺癌的侵袭性增加有关。

图 1.1 肠道菌群失调的小鼠乳腺癌肺转移更明显
研究随后探索了联系两者的具体机制。研究发现,在肠道菌群失调的激素样阳性乳腺癌小鼠中,肿瘤进展期的乳腺的早期炎症反应更为明显、持续。同时还能够促进小鼠全身以及局部的肿瘤微环境中的纤维化以及胶原沉积,并能诱导肿瘤对骨髓和乳腺的浸润。肠道菌群失调通过这些途径共同激素阳性乳腺癌患者肿瘤侵袭性增强。

图 1.2 肠道菌群失调增强了纤维化
为了进一步验证这一观点,研究人员还使用了不可吸收、直接靶向肠道菌群的抗生素(non-absorbable antibiotics)和肠道菌群失调小鼠的粪便微生物移植(fecal microbiota transplantation, FMT)来破坏原有乳腺癌小鼠的肠道菌群,证明了肠道菌群失调和乳腺癌侵袭性之间的关系。。

图 1.3 粪便微生物移植能够增强肿瘤细胞转移
这项研究首次证明了肠道菌群和乳腺癌侵袭性之间的关系,研究人员认为肠道菌群在未来或能成为乳腺癌肿瘤侵袭性的生物标志物,甚至作为促肿瘤相关炎症的治疗靶标。
02
有待商榷:家族BRCA1/2突变非携带者要不要特别筛查?
具有乳腺癌家族史的女性中,如果她们携带有BRCA1/2基因突变,那么不幸患上乳腺癌的风险就会陡然上升。然而,对于没有携带BRCA1/2突变的女性而言,相应的风险其实相对较低,但通常的做法还是会加强对这一人群的监测。最近来自德国的研究对这一做法的合理性提出了质疑,认为即使有乳腺癌家族史,如果没有携带BRCA1/2突变,那么这一人群的乳腺癌风险或许与常人无异。

图 2.0 研究发表在Int J Cancer
这项研究纳入了参与强化乳腺癌影像学监测计划(intensified breast imaging surveillance program)的女性,共涉及德国的12个研究中心,纳入了4380名初发乳腺癌(FBC)患者以及2993名对侧乳腺癌(CBC)患者,共累计了超过2.6万人·年的随访信息。
结果显示,BRCA1突变携带者到60岁时初发乳腺癌的累积风险可达61.8%(95%CI 52.8%-70.9%),而BRCA2突变携带者的累积风险可达43.2%(32.1%-56.3%),而BRCA1/2非携带者的累积风险则仅为15.7%(11.9%-20.4%)。
对于初发乳腺癌的发病风险而言,BRCA1(HR 123.9, 95%CI 18.9-29.8)和BRCA2(13.5, 9.2-19.1)突变携带者的风险均较常人非常明显地增加,而BRCA1/2非携带者的风险增加则相对较少(4.9, 3.8-6.3)。

图 2.1 乳腺癌家族史BRCA1/2非携带者初发乳腺癌风险增加
类似地,在初发乳腺癌发病后10年内对侧乳腺癌的风险在BRCA1(25.1%, 19.6%-31.9%)和BRCA2(6.6%, 3.4%-12.5%)突变携带者中也明显比BRCA1/2非携带者(3.6%, 2.2%-5.7%)更高,BRCA1/2非携带者的对侧乳腺癌发病风险与常人无异。

图 2.2 乳腺癌家族史BRCA1/2非携带者对侧乳腺癌风险没有增加
研究特别指出了对于乳腺癌家族史、BRCA1/2非携带者而言,初发乳腺癌的发病风险虽然较常人有所增加,但其对侧乳腺癌的发病风险与普通人其实一样。这一研究结果为我们重新审视乳腺癌家族史女性的筛查方案提供了契机,或许在未来我们应该综合考虑更多地因素以平衡筛查的利弊,为患者提供更为合适、精准的疾病管理。
03
未卜先知:循环miRNA预测HER2阳性乳腺癌治疗反应!
大约有20%的乳腺癌患者HER2阳性,HER2基因的表达与不良的预后以及肿瘤侵袭性有关。在抗HER2治疗出现之后,这一现象得到了明显的改观,但仍然有一部分患者并没有从这一治疗中获益。最近NeoALTTO试验的结果就分析了循环血液中的miRNA水平,发现这一指标或许能用做疗效检测的指标指导后续的抗HER2治疗,最大限度地改善患者的治疗策略。

图 3.0 研究发表在Clin Cancer Res
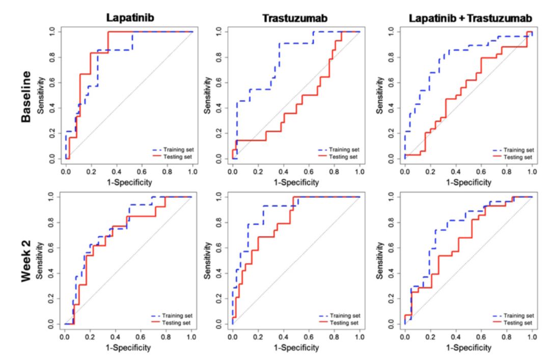
研究使用了基于RT-PCR的方法高通量地检测了接受单/双抗HER2治疗的乳腺癌患者的miRNA,分别在治疗开始前和(或)治疗开始后2周采集患者的血样并随机分为训练集(183份)和测试集(246份),分析了循环miRNA水平与病理完全缓解(pCR)和无事件生存(EFS)之间的关系。

图 3.1 NeoALTTO试验共纳入了455名患者
在训练集中,研究人员发现血样中检测到的51种与pCR有关的miRNA里有6种具有统计学显著性,其中有4种miRNA在测试集中得到了进一步的确认并计算了它们的ROC曲线下面积(AUC)。

图 3.2 研究涉及的51种miRNA
结果显示,这些指标对于拉帕替尼在基线(AUC 0.86, 95%CI 0.73-0.98)以及治疗后2周(0.71, 0.55-0.86),曲妥珠单抗在治疗后2周(0.81, 0.70-0.92)以及拉帕替尼 曲妥珠单抗在治疗后2周(0.67, 0.51-0.83)的疗效具有一定的预测作用。
在调整了雌激素受体情况、淋巴转移、肿瘤大小、患者年龄等因素后,这一结果依然显著。同时,研究还发现治疗后2周的ct-miR-140-5p水平与EFS相关(HR 0.43, 95%CI 0.22-0.84)。

图 3.3 miRNA可预测患者的pCR
研究人员认为,在接受基于拉帕替尼和(或)曲妥珠单抗的抗HER2治疗之后血液中的miRNA可以用于区分患者的pCR情况,治疗后第2周的miRNA水平可用于分辨对曲妥珠单抗有反应的患者,避免抗HER2治疗反应不佳的患者继续接受其他抗HER2药物,协助制定针对每一位患者更为合适的治疗策略。
参考文献
[1]Buchta Rosean C, Bostic RR, Ferey JCM, et al. Pre-existing commensal dysbiosis is a host-intrinsic regulator of tissue inflammation and tumor cell dissemination in hormone receptor-positive breast cancer. Cancer Res. 2019 May 7. pii: canres.3464.2018. doi: 10.1158/0008-5472.CAN-18-3464.
[2]Engel C, Fischer C, Zachariae S, et al. Breast cancer risk in BRCA1/2 mutation carriers and non-carriers under prospective intensified surveillance. Int J Cancer. 2019 May 13. doi: 10.1002/ijc.32396.
[3]Di Cosimo S, Appierto V, Pizzamiglio S, et al. Plasma miRNA Levels for Predicting Therapeutic Response to Neoadjuvant Treatment in HER2-positive Breast Cancer: Results from the NeoALTTO Trial. Clin Cancer Res. 2019 Feb 27. doi: 10.1158/1078-0432.CCR-18-2507.
本文首发:医学界肿瘤频道
作者:鲸鱼
责任编辑:Sharon
相关资讯







