《NEJM》新发现:“百岁神药”阿司匹林降低肝癌发生风险31%
近日,肝癌及肝病领域呈现出新的进展,NEJM发表的一项研究发现,服用低剂量的阿司匹林与肝癌风险降低31%,肝脏相关死亡风险降低27%。
我国近80%的肝癌均是因乙肝病毒感染引起的慢性肝炎,进而发展成为肝硬化和肝癌。但目前,暂时还没有已批准的药物可以预防病毒性肝炎患者发生肝癌。
全球每年约有88.7万人死于HBV感染,其中肝硬化和原发性肝细胞癌的病死率分别占30%和45%[1]。虽然乙肝疫苗可以有效的预防乙肝,但目前仍存在且大量新增着许多乙肝病人,乙肝仍是难以被破解的一项难题。尽管现有药物可以抑制乙肝病毒,丙肝已经能够被治愈,但乙肝和丙肝患者仍然有相对较高的风险发展为肝硬化,甚至肝癌。
阿司匹林曾经被称为人们眼中的神药,与青霉素、安定同为“世界三大经典药物”。自1899年诞生以来,阿司匹林被用于解热镇痛、抗炎抗凝、糖尿病、阿兹海默症。而由于它镇痛解热抗炎效果好、价格低廉,成为了中国家家必备的常用药物。
除了家常必备,阿司匹林更神奇之处在于其防癌效果。早在2012年,《柳叶刀》杂志便刊登出了阿司匹林防治癌症的相关报告。通过长达5-20年的追踪,发现阿司匹林对癌症的转移、降低死亡率、降低发病率及患癌风险均有一定作用。

图片来源:摄图网
对于肝癌HCC,2018年《JAMA oncology》杂志也曾发表研究结论,长期服用阿司匹林与肝癌风险降低有关。结果显示,与非经常使用阿司匹林人群相比,服用中剂量阿司匹林五年或更长时间,肝癌相对风险降低了59%[2]。
但此项研究中阿司匹林降低HCC风险相关的剂量与抗血小板和镇痛作用相关,与抗炎作用无关。而肝癌与慢性肝炎的关系更为密切,阿司匹林通过减少炎症预防癌症的方式不成立,换言之,这项研究对肝癌患者的效果较为不明显。
近日,阿司匹林有了新的研究进展,顶尖学术期刊《新英格兰医学杂志》最新发表了一篇论文,阐述了阿司匹林在肝癌预防及肝病治疗方面的作用。
这项由哈佛大学、哥伦比亚大学等多家机构共同完成的研究,对5万多名乙肝或丙肝患者进行研究分析,其结果显示,服用低剂量阿司匹林降低发生肝癌31%的风险,肝病相关死亡的风险也会降低27%,同时不会明显增加胃肠道出血的发生率。

截图来源:New England Journal of Medicine
这项研究由瑞典国家注册中心纳入了2005-2015年被诊断患有乙肝或丙肝的50275名患者(其中13276名乙肝患者,36999名丙肝患者)。
在这当中,14205人开始在研究期间低剂量服用阿司匹林,每日服用剂量为75mg或160mg,持续服用至少3个月,且不接受其他抗血小板治疗。其中56%患有冠心病,87%的服用者具有至少一种心血管风险因素,比如糖尿病、血脂异常、肥胖、高血压等。
研究数据显示,长达7.9年的随访中,有1612人被诊断为肝癌,5017人因肝脏的相关因素而死亡。

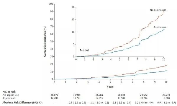
图片:肝癌发生率
阿司匹林服用者的肝癌发病率约为4%,而未服用阿司匹林者发病率约为8.3%,两者存在很大的差异。排除其他肝癌的因素,阿司匹林降低了31%的肝癌风险。

图片:肝相关死亡率
另外,阿司匹林服用者和未服用者10年肝病相关死亡率分别为11%和17.9%。排除其他风险因素,对于服用阿司匹林的慢性病毒性肝炎患者,死于肝脏问题的风险降低27%。
进一步研究发现,阿司匹林的使用时间也跟肝癌风险密切相关,相较于仅服用阿司匹林3-12个月的患者,服用1-3年,肝癌风险降低10%;服用3-5年,肝癌风险降低34%;服用5年及以上,肝细胞癌风险降低43%。
不可否认的是,相较于2018年《JAMA oncology》中阿司匹林与HCC的研究,这项研究有了更进一步的进展,证实了阿司匹林的抗炎作用有助于预防肝病和肝细胞癌的发生发展,对肝细胞癌的预防有明显益处。
但该项研究也存在着一定的局限性,试验人群仅限于肝炎白人患者,缺乏全面的影响肝癌相关因素的信息,缺失肝脏结局关键指标的详细数据,仍需更加全面且随机的临床试验来验证阿司匹林的具体疗效。
待科学数据和研究证据再进一步累积后,阿司匹林或许将成为肝病领域的“宠儿”,为肝癌和肝病患者创造出一片新天地!
责任编辑:肝癌互助君
参考来源:
[1]中华医学会感染病学分会,中华医学会肝病学分会. 慢性乙型肝炎防治指南(2019年版)[J].中华临床感染病杂志,12(6):401-428.
[2] Association Between Aspirin Use and Risk of Hepatocellular Carcinoma. JAMA Oncol. Published online October 4, 2018. doi:10.1001/jamaoncol.2018.4154.
[3]Simon TG, et al., (2020). Association of aspirin with hepatocellular carcinoma and liver-related mortality. N Engl J Med, DOI: 10.1056/NEJMoa1912035
相关资讯







