北肿研究:乳腺癌化疗也开始个性化定制了?
从TP53到全基因组测序,从化疗用药选择到治疗方案个性,乳腺癌一周资讯第13期,更多研究带来更个性化的治疗!
中国研究:TP53或是乳腺癌化疗方案选择新依据 改善体验:神经节苷脂-单唾液酸减少化疗副作用 追根溯源:全基因组测序从发病机理指导乳癌治疗
一 中国研究: TP53或是乳腺癌化疗方案选择新依据
TP53是最为著名的抑癌基因,不过TP53种系突变在乳腺癌患者中的情况并不为人所熟知。先前的研究也没有关注到TP53突变对于患者临床预后的影响,最近来自中国的一项研究填补了这一空白,揭示了TP53突变在乳腺癌中的发生率及其可能的作用,指出乳腺癌患者的TP53情况或可用于指导治疗方案的选择。

图 1.0 研究发表于Int J Cancer
这项来自北京大学肿瘤医院的研究共纳入了一项包含10053名未经选择乳腺癌患者的队列,通过下一代基因测序(NGS)和/或Sanger测序分析方法确定了这些患者中的种系TP53突变,发现0.5%(50例)的乳腺癌患者携带有TP53突变,而在年龄小于30岁的早发乳腺癌患者中这一比例则为3.8%。先前的研究显示可能有0.3%的乳腺癌患者携带TP53突变,早发的乳腺癌患者中可能有3%-7%的患者携带有这一突变,本次研究的结果与之相近。

图 1.1 TP53种系突变
进一步的分析显示,携带有TP53突变的患者更可能患上早发性乳腺癌(p<0.001)以及双侧的乳腺癌(p=0.03)。不过,研究并没有发现TP53突变与三阴性乳腺癌或HER2阳性乳腺癌相关。
在对于药物的反应方面,携带有TP53突变的患者更有可能对基于卡铂的新辅助化疗有反应,效果优于基于蒽环类药物或或紫杉醇的方案,出现完全病理缓解(pCR)的比例更高(50% vs 0%, p = 0.006)。
然而,携带有TP53突变的患者总体上预后更差,患者的无复发生存(RFS; aHR 2.24, 95%CI 1.15-4.33; p=0.02)、远处无复发生存(DRFS; 2.73, 1.41-5.30; p=0.003)和总生存(OS; 4.60, 2.26-9.41; p<0.001)均更差。

图 1.2 携带TP53突变的患者预后更差
研究人员指出,TP53突变在早发乳腺癌患者中更常见,患者的预后往往更差,选择基于卡铂的新辅助化疗方案能够在一定程度上改善这些患者的预后。此外,由于TP53是一种关键的DNA修复基因,在维持基因组稳定性方面发挥着至关重要的作用,因此,研究人员猜测携带TP53突变的乳腺癌患者还可能从PARP抑制剂治疗中获益。
二 改善体验: 神经节苷脂-单唾液酸减少化疗副作用
紫杉醇是乳腺癌患者最常用的治疗药物之一,能减少早期乳腺癌复发,改善晚期乳腺癌患者的预后。然而,紫杉醇也会引起一系列的不良反应,其中最重要的无疑就是紫杉醇相关的周围神经病变(TIPN)。这一不良反应甚至会让患者中断治疗,而最近的研究发现神经节苷脂-单唾液酸(GM-1)具有改善这一情况的能力。

图 2.0 研究发表在J Natl Cancer Inst
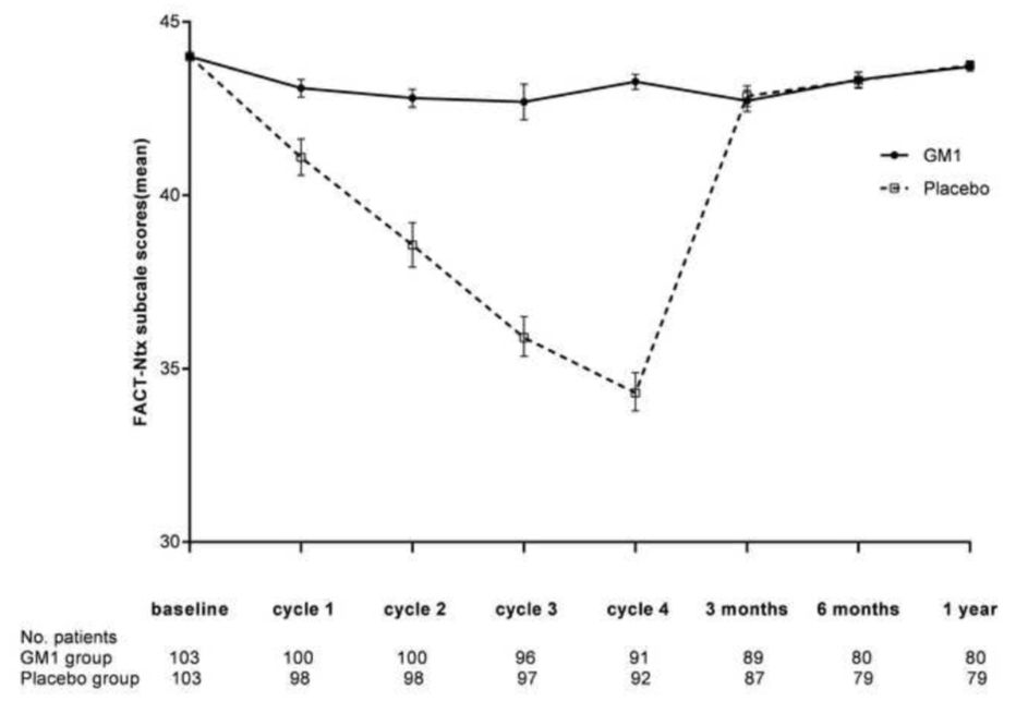
这项来自的研究评估了神经保护因子GM-1在预防接受紫杉醇治疗的乳腺癌患者TIPN发生的作用。这项随机双盲安慰剂对照试验共纳入了206名接受紫杉醇辅助化疗的早期乳腺癌患者,在化疗的第1-2天患者随机接受GM-1/安慰剂的治疗,使用FACT-Ntx、CTCAE v4.0以及ENS量表评估患者接受4个周期化疗后的神经病变情况,随访时间可达1年。

图 2.1 研究最终评估了183名患者
结果发现,在183名可以评估的患者中,GM-1组的患者在4个周期化疗后的FACT-Ntx量表评分显著高于安慰剂组(43.27, 95%CI 43.05-43.49 vs 34.34, 33.78-34.89; 平均差8.96, 8.38-9.54, p<0.001),这意味着GM-1能够减少患者的TIPN发生。
CTCAE v4.0量表评估的结果显示,≥1级外周神经毒性事件(14.3% vs 100.0%; p<0.001)。ENS量表中,GM-1组的感觉神经(26.4% vs 97.8%; p<0.001)以及运动神经(20.9% vs 81.5%; p<0.001)≥1级神经毒性事件发生比例均明显低于安慰剂组。

图 2.2 GM-1明显改善患者的神经病变评分
TIPN对于患者的生活质量有很大的影响,还可能迫使患者降低化疗剂量,甚至中断治疗,但目前尚未确定TIPN的发生机制,也没有明确的治疗手段。研究人员指出,这是首个成功使用GM-1预防TIPN的III期临床试验,无疑能为TIPN的管理提供新的选择。GM-1能够通过许多机制起到保护神经的作用,已被证明能够改善包括帕金森病、亨廷顿舞蹈病以及奥沙利铂相关神经病变等疾病,具有普遍的神经保护作用。下一步的研究将探索GM-1对于TIPN的长期治疗效果。
三 追根溯源: 全基因组测序从发病机理指导乳癌治疗
大约15%-20%的乳腺癌与家族史有关,BRCA1/2等基因虽然能够解释一部分患者的乳腺癌风险,但是仍有超过50%的家族性乳腺癌遗传风险尚不明确。最近的研究发现,使用全基因组测序(WGS)或许能够揭示许多遗传风险因素不明的乳腺癌患者背后的发病机制,甚至指导这些患者治疗方案的选择。

图 3.0 研究发表于Ann Oncol
这项由澳大利亚昆士兰州贝格霍夫医学研究所领衔的研究共对78对匹配的患者的进行了肿瘤以及种系的DNA样本的全基因组测序,其中包括26名携带BRCA1突变,22名携带BRCA2突变,30名未携带BRCA1/2突变。这些患者的匹配种系/肿瘤WGS和体细胞特征分析结果显示,许多人都带有双重种系致病突变,如BRCA1/BRCA2、BRCA1/MUTYH——这一现象在之前未被报道过。
分析结果显示,在BRCA1突变携带者的肿瘤样本中100%会出现相应的双等位基因失活,而在BRCA2突变的携带者中这一比例同样高达91%,并且在体细胞特征分析中也发现了相应的功能缺陷。在未携带BRCA1/2突变的患者中甚至也发现了可能提示BRCA相关缺陷的特征,如携带PALB2种系致病突变和意义未知的BRCA2突变。13名未携带BRCA1/2突变的早发乳腺癌患者中虽然BRCA1/2基因并未出现问题,但却携带有TP52、ATM和CHECK2相关的致病突变、扩增或重排。
研究人员认为,这一系列的结果表明,通过WGS方法检测匹配的种系/肿瘤DNA样本能够更好地发现乳腺癌患者的种系突变以及致病性,让人们进一步认识到乳腺极具异质性,复杂的基因重排也可能驱动部分患者肿瘤的发生。在充分了解患者肿瘤致病机理的前提之下,这一方法能够指导肿瘤治疗方法的选择,比如选择基于铂类的化疗,还是PARP抑制剂治疗,为患者提供更为个性化的治疗指导。
参考文献
[1]Sheng S, Xu Y, Guo Y, et al. Prevalence and Clinical Impact of TP53 Germline Mutations in Chinese Women with Breast Cancer. Int J Cancer. 2019 May 21. doi: 10.1002/ijc.32424.
[2]Su Y, Huang J, Wang S, et al. The Effects of Ganglioside-Monosialic Acid in Taxane-induced Peripheral Neurotoxicity in Patients with Breast Cancer: A Randomized Trial. J Natl Cancer Inst. 2019 May 15. pii: djz086. doi: 10.1093/jnci/djz086.
[3]Nones K, Johnson J, Newell F, et al. Whole-genome sequencing reveals clinically relevant insights into the aetiology of familial breast cancers. Ann Oncol. 2019 May 15. pii: mdz132. doi: 10.1093/annonc/mdz132.
本文首发:医学界肿瘤频道
本文作者:鲸鱼
本文排版:Sharon
责任编辑:Sharon
相关资讯







