乳腺癌预后看什么?免疫系统要努力!
想要乳腺癌预后好,淋巴细胞浸润有关系!技术革新了,BI-RADS评分反而不准了?三阴性乳腺癌又现标志物,或可指导靶向治疗?乳腺癌一周资讯第4期,免疫细胞都那么努力了,新的一周你也要加油呀!
文丨鲸鱼
来源丨医学界肿瘤频道
乳腺癌预后,免疫细胞浸润有意义? 新技术出现,BI-RADS评分要改革? 三阴乳腺癌,新标志物能指导治疗?
01 乳腺癌预后,免疫细胞浸润有意义?
DOI: 10.1093/jnci/djz032.
Key point 肿瘤患者免疫系统以及肿瘤微环境的相互作用与其临床预后有关。最近的研究评估了早期HER2阳性乳腺癌患者肿瘤间质淋巴细胞浸润(sTILs)对于临床预后的预测价值。结果发现,sTILs能够在一定程度上预测患者的无病生存期,能找出低复发风险人群。此外,还能找出对于曲妥珠单抗治疗反应较好的患者,未来或能指导治疗选择。

图 1.0 研究发表在JNCI
在HER2阳性乳腺癌以及三阴性乳腺癌的患者中,患者的免疫系统以及肿瘤微环境的相互作用与其临床预后有密切的关系,也有研究称较高的sTILs与HER2阳性乳腺癌患者的预后改善有关。然而,之前的研究对于曲妥珠单抗治疗和化疗中这一指标的意义却出现矛盾的结果。淋巴细胞跑到肿瘤里究竟有什么作用?

图 1.1 研究评估了1581例患者的sTILs
最近的NSABP B-31试验中,研究人员评估了患者的组织中的sTILs情况,试图检测sTILs对于曲妥珠单抗加入辅助化疗在早期HER2阳性乳腺癌患者结局预后的预测价值。B-31研究队列中共纳入了2130名患者,其中1931例可以用于研究,病理学家评估了所有1581例具有HE切片的患者。sTILs被定义为侵袭性乳腺癌范围内,形态学上被定义为单核细胞(包括淋巴细胞和浆细胞)占据肿瘤基质区域的比例,评估结果的一致性为90.8%。

图 1.2 sTILs对于预测临床预后有一定价值
结果发现,在化疗和化疗 曲妥珠组中,sTILs的增加作为半连续变量(HR 0.42, 95%CI 0.27-0.64; p < 0.001)或者定义为淋巴细胞为主的乳腺癌中有 sTILs>50%(0.65, 0.49-0.86; p = 0.003)与患者的无病生存改善有关。
虽然sTILs总体上曲妥珠的获益无关,但更进一步的分析显示,在八基因预测模型显示可能对曲妥珠单抗有更好反应的亚组患者中,sTILs显示出了与曲妥珠单抗治疗获益的关系(p <0.001);PIK3CA突变和Fc-γ受体多态性与sTILs无关。

图 1.3 sTILs有助于找出对曲妥珠反应更好的患者
研究人员认为,sTILs有望作为临床预后的生物标志物,找出早期HER2阳性乳腺癌患者中的低复发风险人群。先前的N9831研究排除了化疗和化疗 曲妥珠单抗组中一大半患者的sTILs评估,有必要对其进行评估再次以确认这一研究的结果。此外,由于这一研究中通过较高的sTILs找出了一组对于化疗 曲妥珠治疗有更好效果的人群,进一步的分析或许还能证明这一指标能用于指导HER2阳性乳腺癌患者的治疗选择。
REF:
Kim RS, Song N, Gavin PG, et al. Stromal Tumor-infiltrating Lymphocytes in NRG Oncology/NSABP B-31 Adjuvant Trial for Early-stage HER2-positive Breast Cancer. J Natl Cancer Inst. 2019 Mar 19. pii: djz032. doi: 10.1093/jnci/djz032.
02 新技术出现,BI-RADS评分要改革?
DOI:10.1148/radiol.2019181740; 10.1148/radiol.2019190342.
Key point 乳腺摄影是乳腺癌筛查的重要手段,但随着乳腺摄影的不断进步,原来的BI-RADS分级系统能不能适应技术的革新?最近来自美国的研究比较了6万多次采用了多种不同技术的乳房摄影图像,结果发现在换用新的技术之后,女性被评判为高密度乳腺,即有较高乳腺癌风险的可能性会降低,其中非裔和高体质指数(BMI)女性所受的影响更大。这一结果可能对患者个性化的筛查选择产生影响。

图 2.0 研究发表在Radiology
乳房摄影中显示的乳房密度是乳腺癌确定的危险因素,反映了乳房中脂肪与纤维腺组织的相对量,与密度最低的女性相比,乳腺癌密度最高的女性患乳腺癌的风险可以达到其4~6倍。
最常用的乳腺密度评价系统BI-RADS系统,不过随着数字乳腺断层摄影(Digital Breast Tomosynthesis ,DBT)以及合成X线成像检查(synthetic mammography, SM)等新技术的出现,原本基于二维的技术如数字乳腺X线摄影(Digital Mammography, DM)的BI-RADS系统还准吗?最近的研究比较了两者的BI-RADS分级结果。

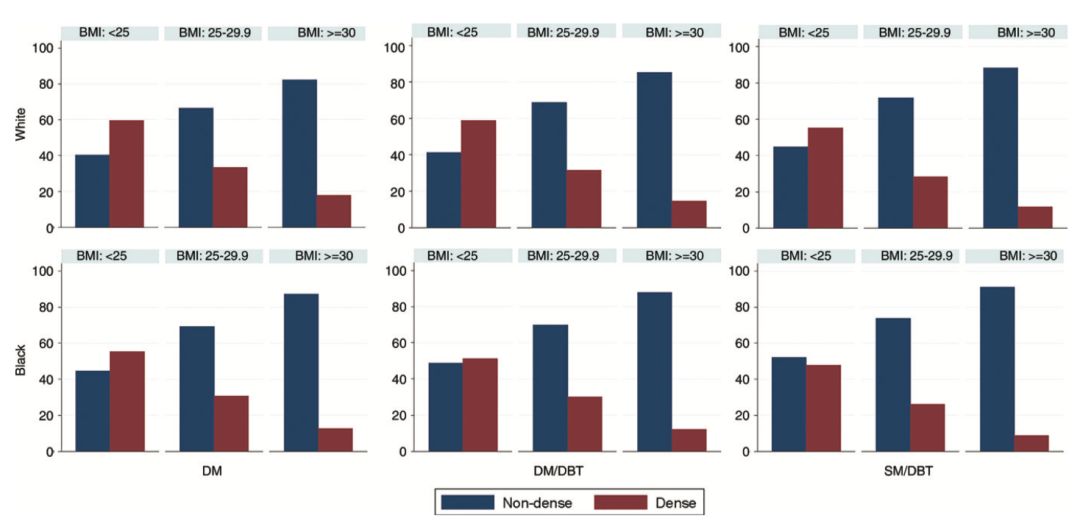
图 2.1 研究比较了6万多次乳腺检查的结果
这项来自美国宾夕法尼亚大学(University of Pennsylvania)的研究回顾性分析了24736名女性的60766次乳腺检查的影像学资料,包括仅采用了DM检查,采用DM/DBT检查和采用DBT/SM检查三个阶段。图像由一组具有丰富经验的医师评估,分为非致密(BI-RADS a/b)或致密(BI-RADS c/d)。

图 2.2 似乎是DBT的出现使BI-RADS分级降低
结果发现,乳房密度的分类可能因乳房摄影检查方式而异且与BMI以及种族有关。与仅采用DM方法检查相比,当使用DM/DBT或SM/DBT进行乳房摄影时,被评估为高密度概率分别降低了31%和57%(OR 0.69, 95%CI 0.61-0.80; 0.43, 0.37-0.50), SM取代DM后被评估为高密度的概率降低了38%(0.62, 0.56-0.69)。这些影响在非裔女性和BMI较高的女性中更为突出。

图 2.3 非裔和BMI较高女性的女性检查结果受方法影响更大
研究人员指出,乳腺密度分级的降低可能是由于DBT的三维成像与DM的平面二维成像相比,纤维腺组织的显示减少,以及SM重建成像中致密组织和脂肪组织外观的差异所造成。由于乳腺密度的分级往往与后续的检查建议密切相关,由于这一研究界结果显示乳腺密度分级与患者的BMI以及种族有关,因此可能对患者个性化的筛查选择产生影响。

图 2.4 同一女性DM换用SM时BI-RADS分级降低
随文刊发的评论文章提出,由于密度是乳房摄影的主要限制性因素,因此视觉上的密度降低可能对于评估有利,但如果这一变化被证明与人有关,那么就可能是有害的,将导致一些癌症被遗漏。我们需要对密度进行更严格和复杂的分类,使不同检查方式和设备产生的密度更均匀,使之更能反应乳腺癌风险并关联于筛查指南,从而改进乳腺癌筛查的有效性。
REF:
[1] Gastounioti A, McCarthy AM, Pantalone L, et al. Effect of Mammographic Screening Modality on Breast Density Assessment: Digital Mammography versus Digital Breast Tomosynthesis. Radiology. 2019 Mar 19:181740. doi: 10.1148/radiol.2019181740.
[2] Philpotts LE. Density Variation among Mammographic Modalities Will Likely Impact Imaging Management and Risk Stratification. Radiology. 2019 Mar 19:190342. doi: 10.1148/radiol.2019190342.
[3] AAAS. Breast density assessment varies greatly by screening method and race. EurekALert! 19 Mar 2019. Avaliable at: https://www.eurekalert.org/pub_releases/2019-03/rson-bda031219.php Last assessed on 2019-03-23.
03 三阴乳腺癌,新标志物能指导治疗?
DOI: 10.1158/0008-5472.CAN-18-2787.
Key point PDLIM2蛋白调节上皮细胞和造血细胞中转录因子的稳定性,在60%的三阴性乳腺癌肿瘤细胞以及40%基质中表达,高于其他亚型的乳腺癌,因此最近的研究关注了其在三阴性乳腺癌中的作用。结果虽然没有发现PDLIM2与TNBC预后之间的关系,但发现了PDLIM2与粘附、生长因子信号和β-连环蛋白活性有关,未来或可指导相关的靶向治疗。

图 3.0 研究发表在Cancer Research
三阴性乳腺癌占所有乳腺癌的15%-20%,但遗传异质性很大且高度具有远处转移风险,难以治愈、预后不良。目前仍不清楚三阴性乳腺癌发生的驱动因素,需要寻找相关的生物标志物和治疗靶点。
PDLIM2蛋白调节上皮细胞和造血细胞中转录因子的稳定性,包括NF-κB和STAT。 PDLIM2在某些表现出上皮-间充质表型的癌细胞系中强烈表达,而抑制 PDLIM2则能够逆转这一表型。 PDLIM2支持非转化乳腺细胞的上皮极性,提示其在肿瘤抑制和发生中具有不同作用。
研究显示,三阴性乳腺癌中表达PDLIM2蛋白的比例远高于其他亚型的乳腺癌,因此最近的研究关注了这一蛋白在三阴性乳腺癌中的作用。

图 3.1 PDLIM2的免疫组化结果
注:T, tumor; S, stroma. i, T-/S-; ii, T /S-; iii, T-/S ; iv, T /S
来自爱尔兰考克大学(University College Cork)的研究人员首先检测了PDLIM在乳腺癌中的表达。结果显示,PDLIM2在超过50%的三阴性乳腺癌肿瘤细胞中表达,60%的三阴性乳腺癌基质PDLIM2阳性,而PDLIM2仅在20%的其他乳腺癌亚型其表达,大约40%的其他乳腺癌基质PDLIM2阳性。然而,并没有发现其与三阴性乳腺癌亚型或临床预后之间的确切关系。

图 3.2 PDLIM2在TNBC细胞中的表达和定位局限在细胞质
研究人员进一步探索了PDLIM2在TNBC中发挥的作用。结果发现,三阴性乳腺癌中PDILM2 的表达局限在细胞质中且与β-连环蛋白活性和粘附信号传导正相关。PDLIM2表达与高水平的细胞粘附标记物、活性生长因子受体和β-连环蛋白有关。PDLIM2在细胞质和细胞核外中的积累增强了活性β-连环蛋白在细胞核内的水平。通过抑制PDLIM2能够在体内抑制TNBC肿瘤的生长,而过表达PDLIM2则能够影响三维培养,使细胞极性丧失,促进肿瘤生长和运动。

图 3.3 细胞质中PDLIM2和细胞核内的β-连环蛋白
研究人员指出,PDLIM2是由粘附、生长因子信号和β-连环蛋白活性有关的三阴性乳腺癌亚组的标志物,虽然这一标志物可能与患者的临床预后无关,但找出基于其在三阴性乳腺癌发病过程中作用的分类分类标志物本身就是一种进步,同时还能作为靶向PDLIM信号调节或靶向β-连环蛋白疗法的生物标志物。
REF:
Cox OT, Edmunds SJ, Simon-Keller K, et al. PDLIM2 is a marker of adhesion and β-catenin activity in triple-negative breast cancer. Cancer Res. 2019 Mar 18. pii: canres.2787.2018. doi: 10.1158/0008-5472.CAN-18-2787.
来源:医学界肿瘤频道
相关资讯







