慢加急肝衰竭联盟、上海交通大学医学院附属仁济医院李海教授团队近日在JHEP子刊JHEP Reports(IF 9.9)上线发表了一项迄今全球已报道入组数最多之一的慢加急肝衰竭前瞻性多中心队列研究“CATCH LIFE”(Chinese AcuTe-on-CHronic LIver FailurE,包含2个大型队列、共3970例患者),详尽阐述了肝硬化急性失代偿患者向慢加急性肝衰竭、不稳定性肝硬化和稳定性肝硬化转归的自然病程,发现了导致HBV肝硬化急性失代偿患者由急性失代偿发展至ACLF器官衰竭的相关独立诱因,阐述了诱因、全身炎症反应及疾病严重度三方面的共同作用促进了ACLF的发生,并建立了经外部队列验证的预测模型。(Role of precipitants on transition of acute decompensation to acute-on-chronic liver failure in patients with HBV-related cirrhosis. JHEP Rep 2022; 5;4(10):100529. DOI: 10.1016/j.jhepr.2022.100529)。
来自UCL的英国著名慢加急肝衰竭专家Rajiv Jalan教授针对中国慢加急肝衰竭联盟的这项研究特地撰文进行了评述(“A new model for identification of HBV-related pre-ACLF” https://doi.org/10.1016/j.jhepr.2022.100554),他指出:
文章首次明确阐述了诱因的类型在定义HBV肝硬化急性失代偿期的患者从无ACLF发展到ACLF的过程中的重要性。
the data presented here provide the first clear indication of the importance of the type of precipitating event in defining progression of HBV cirrhosis patients with acute decompensation from no ACLF to ACLF。
通过诱因类型对ACLF发展的重要性分析,建立了一个新预后评分模型,以计算急性失代偿期未发生ACLF的患者将来发生ACLF的风险。
the study by Wang, Tan, Wang, Zheng, and Huang et al. brings to the literature an important, new perspective for the importance of the type of precipitating event and a new prognostic score in defining the risk of future ACLF in patients with acute decompensation and no ACLF。(https://doi.org/10.1016/j.jhepr.2022.100529)
图1. 研究设计
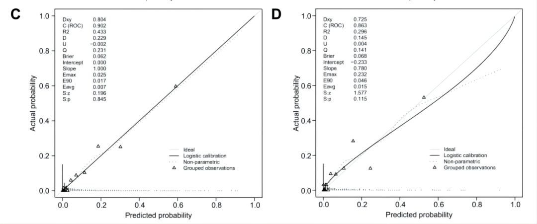
本研究首次阐述了乙肝肝硬化失代偿期住院患者有三种自然病程——28天内进展至慢加急性肝衰(ACLF),即pre-ACLF(94/1167,8.1%),不稳定的失代偿期肝硬化(UDC)(251/1167,21.5%),以及稳定的失代偿期肝硬化(SDC)(507/1167,43.44%),见图1。这与欧洲CANONIC研究中关于酒精性肝硬化患者的自然病程相同。其中,肝硬化失代偿期患者出院后3个月内,至少有一次再入院被定义为UDC,90天和1年死亡率分别为22.36%和32.06%;3个月的随访中,没有再入院的患者被定义为SDC,90天和1年死亡率分别为0%和2.57%;pre-ACLF是一个急性失代偿(AD)发展至ACLF的一个独特的中间阶段,90天和1年死亡率分别为61.63%和70.93%,远远高于UDC和SDC的患者。HBV肝硬化住院患者由急性失代偿发展至ACLF的独立诱因图2. 诱发事件与HBV肝硬化急性失代偿的患者住院期间发展ACLF的关系该研究发现,在病因相关的诱因(precipitating events)中,共有5个诱发事件与ACLF的发展独立正相关,分别是:HBV再激活合并急性肝损伤,高HBV DNA载量合并急性肝损伤,HBV感染合并HAV或HEV感染,细菌感染,以及胃底食管静脉曲张破裂出血。急性肝损伤(Hepatitis B flare)被定义为ALT>5ULN。本研究首次发现,只有导致急性肝损伤的HBV再激活或高HBV载量复制才是促进ACLF发展的独立诱因(P<0.001,P=0.003)。而不导致急性肝损的HBV再激活或高HBV载量复制并不对ACLF进展产生明显影响(P值分别为0.426和0.400)。与HBV肝硬化急性失代偿患者发展ACLF相关的独立危险因素研究人员通过多因素COX分析发现3类与ACLF的发展相关的独立危险因素(图3),分别是:诱因(HBV再激活合并急性肝损,高HBV-DNA载量合并急性肝损,HBV合并HAV或HEV感染,细菌感染),全身炎症反应[ln (NL ratio)]以及和肝脏损伤严重度[ln(TB)和In(INR)]。其中,对ACLF发展影响排名前三的因素按先后顺序为In(INR)、乙肝合并甲肝或戊肝感染以及细菌感染。随后,研究人员通过逻辑回归的方法,建立了一个包含7种因素的模型来预测ACLF的发生,这些因素包含3个肝内诱发因素(HBV再激活合并急性肝损,高HBV-DNA载量合并急性肝损,HBV合并HAV或HEV感染),1个肝外诱发因素(细菌感染),2个疾病严重度参数[ln(TB)和In(INR)],以及1个系统性炎症参数[ln(NL ratio)]。Score = −7.71 1.38×(HBV再激活合并急性肝损) 0.74×(高HBV-DNA载量合并急性肝损) 1.50×(HBV合并HAV或HEV感染) 0.91×(细菌感染) 0.81×ln(TB) 4.17×ln(INR) 0.63×ln(NL ratio)图4.(A)探索队列中新模型的AUC以及ROC曲线和CLIF-C AD, iMELD, MELD-sodium, Child-Pugh评分对比(B)验证队列中新模型的AUC以及ROC曲线和CLIF-C AD, iMELD, MELD-sodium和 Child-Pugh score对比(C)探索队列的校正曲线(D)验证队列的校正曲线
在探索队列中,该预测模型的C指数是0.902,在458例乙肝急性失代偿未进展为ACLF的患者的验证队列中C指数为0.862,均优于传统的CLIF-C AD、iMELD、MELD-Na和CTP评分(图4)。同时,通过校正曲线可以看到,无论在探索队列还是验证队列中,模型预测的结果与实际ACLF发展是一致性较高的。研究人员根据90%的specificity作为ACLF发展的危险等级的分界线,获得cut-off值为0.22。当入院时患者得分>0.22,每10个AD, non-ACLF患者中将有4例患者在28天内实际发生ACLF(阳性预测值PPV为39.6%)(图5)。当入院时患者得分<0.22,每20个中仅一例实际发展至ACLF。Rajiv Jalan认为,该模型及设立的cutoff值能帮助肝病专科医生在患者入院时快速区分出ACLF低危人群,并协助锚定ACLF高危人群。同时,也指出该项研究存在以下几点不足:只适用于HBV患者,阳性预测值相对较低,仅50%左右,限制了其临床适用性;由于诊断某些诱发事件需要进行专门的检查,因此无法在入院时进行预后判断。注:该项研究的主要通讯作者和第一作者为上海交通大学附属仁济医院消化科李海教授和王彤钰博士,共同通讯为浙江大学附属第一医院感染科施毓教授,来自重庆西南医院的谭文婷、北京地坛医院的王宪波、长沙湘雅医院的黄燕、武汉协和医院的郑昕和广州南方医院的黎倍伶为共同第一作者。

李海
博士,博士研究生导师,上海交通大学医学院附属仁济医院消化科主任医师,上海市消化疾病研究所研究员,卫生部内科消化重点实验室(上海交通大学)副主任。作为中国慢(加急)性肝衰竭联盟(Chinese CLIF Consortium)的负责人,牵头全国15家三甲医院开展慢加急肝衰竭自然病程的多中心研究(CATCH-LIFE Study),完成调查队列2600例以及验证队列1370例的前瞻性入组。目前兼职中华医学会重肝协作组委员,中国医师协会循证医学分会委员等学术职位。
施毓
浙大一院感染科副主任医师、博士生导师,浙江省临床免疫学会青委副主任委员,浙江省医学会肝病分会青年委员,浙江省数理学会肝病分会青年委员。从事乙肝重症肝病研究,承担国家自然基金2项、参与国家十三五重大专项课题研究,在BMJ、Hepatology、Journal of Hepatology等医学期刊上发表学术论文70余篇,为30多本医学期刊审稿。
王彤钰
目前为北京中日友好医院消化科住院医师,博士,师从上海交通大学医学院附属仁济医院消化科李海教授,研究方向为住院期间肝硬化急性失代偿的临床病程及其向慢加急性肝衰竭的发展,主要从事CATCH-LIFE队列数据的清理、核查和分析工作。中国慢(加急)性肝衰竭联盟(Chinese Acute-on-chronic liver failure Consortium,Ch-CLIF-C)是由上海交通大学附属仁济医院消化内科李海教授牵头,由全国14家三甲医院感染科/肝病中心于2014年共同参与成立的慢加急肝衰竭临床科研合作团队,致力于探索慢加急性肝衰竭(ACLF)的发病机制和制定基于高循证等级的乙型肝炎高流行区ACLF诊断标准、精准预测以及预后分析以及突破性治疗技术。