肺癌新药资讯,难治、耐药、罕见突变这次一网打尽!
2022世界肺癌大会(WCLC)已于8月6日-9日在奥地利维也纳召开。世界肺癌大会是由国际肺癌研究协会(IASLC)组织举办的一项致力于胸部癌症研究和科学的会议。每年随着世界肺癌大会的举办,将吸引到100多个国家,7000余位胸部癌症专家参与。
在今年的大会上,各国云集的各项研究对肺癌的诊断、预后、治疗等各方面都带来了重磅的研究及进展。尤其令人关注的是在靶向治疗领域。随着分子靶向治疗的发展,医学家们不仅仅针对常见靶点研发药物,更是将目光聚集在难治、罕见的靶点上。与此同时,常见靶点的耐药问题也急需解决。因此,在本次大会上,专门开设了多场靶向治疗专场,一同探索如何突破靶向治疗面临的难题。
觅健科普君挑选出靶向治疗专场中的部分亮点研究与觅友们一同分享,带大家了解最前沿的国际肺癌诊疗资讯。
01
MA07.03:真实世界现状,探索奥希替尼常见耐药机制发生率[1]
奥希替尼问世后,显著地改善了EGFR突变的非小细胞肺癌患者的临床预后。然而奥希替尼治疗后出现耐药是一个绕不开的难题。该研究通过真实世界的临床基因组数据库来评估患者中不同耐药机制的检出率。
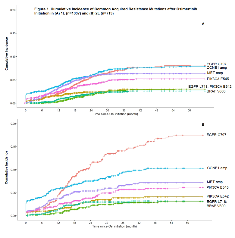
奥希替尼治疗后常见的耐药机制有:MET扩增,CCNE1扩增和 EGFR C797X突变。
研究在临床基因组数据库中进行,涵盖了174,000多名晚期癌症患者,及通过G360液体活检出的EGFR激活突变转移性非小细胞肺癌成年患者。记录患者在经奥希替尼一线或二线治疗5年间不同耐药机制的发病率。
研究结果
EGFR C797X是一线和二线奥希替尼治疗后最常见的获得性靶内或脱靶耐药突变,分别为8.0%和17.5%。
该研究结果表明,需要开发下一代EGFR TKI来克服EGFR阳性非小细胞肺癌患者的C797X驱动的耐药问题。
奥希替尼治疗开始后常见获得性耐药突变的累积发生率:
(A)一线(n=1337)和(B) 二线(n=713)
图片来源:WCLC
02
MA07.04:治疗复发性/难治性EGFR突变非小细胞肺癌新方案:阿米万他单抗和拉泽替尼联合铂类化疗[2]
在2022年ASCO年会上就有过数据表明,该联合方案针对奥希替尼和含铂化疗治疗后进展的EGFR突变患者,展现出不错的疗效。
在45例接受奥希替尼后复发的患者中:
客观缓解率达到36%,包括1例患者完全缓解,15例患者部分缓解,临床获益率为58%。
本次在WCLC大会上也做了该联合方案的数据展示,研究纳入了EGFR突变的非小细胞肺癌患者,这些患者在接受了EGFR TKI治疗或治疗后病情进展。
入组患者接受了中位2项既往治疗,包括奥希替尼(14例)、吉非替尼(3例)和阿法替尼(3例)。迄今为止, 在至少3个月的随访中,最佳缓解包括10例确诊的部分缓解患者,7例病情稳定的患者,3例病情进展的患者。
在5名停止治疗的参与者中,2名是因为化疗相关的严重不良事件,3名是因为疾病进展。
研究结果
阿米万他单抗和拉泽替尼联合化疗在以EGFR TKIs作为既往治疗方案进展的患者中产生了较高的总缓解率,且安全性良好。
03
在临床前模型中,双EGFR阻断与HER2阻断已被证明可以完全和长期地逆转奥希替尼的耐药性。该研究基于此,设计了奥希替尼、耐昔妥珠单抗和曲妥珠单抗(ONT)联合用药方案,并采用剂量递增设计来确定联合方案的给药剂量。
受试者11例,每日口服奥希替尼,同时每隔一周静脉注射耐昔妥珠单抗和曲妥珠单抗。
四组不同的给药剂量:
其中:
获得部分缓解或病情稳定的参与者比例为62.5%(5/8)
1例EGFR p.L861Q突变参与者达到部分缓解(肿瘤收缩56%,持续5.5个月)
接受最高剂量治疗的参与者肿瘤大小均减少,其中EGFR外显子19缺失参与者为27%,EGFR p.L858R突变参与者为16%
未发生4级或5级不良事件或治疗相关死亡
研究结果
奥希替尼、耐昔妥珠单抗和曲妥珠单抗联合用药方案,毒性可管理,治疗EGFR突变的转移性非小细胞肺癌患者具有初步良好的疗效。
04
MA07.08:第四代EGFR TKI在研,针对EGFR C797S突变耐药机制,解决EGFR TKI耐药难题[4]
目前临床上还没有已获批的,靶向治疗EGFR C797S突变的疗法。JIN-A02是一种新型的、口服的第四代EGFR TKI,在双突变或三突变EGFR(ex19del / T790M 或 ex19del / T790M / C797S)的临床前模型中显示出强效的抗肿瘤活性。
该研究将三突变体(Ex19del / T790M / C797S或L858R / T790M / C797S)的EGFR肿瘤移植到小鼠模型中,进行体内疗效试验。
结果如下:
JIN-A02可强效抑制携带ex19del / T790M / C797S和L858R / T790M /C797S突变体的Ba/F3细胞活性。
JIN-A02在双突变体(ex19del / T790M,L858R / T790M)和单突变体(ex19del;L858R)中均显示出与奥希替尼相当的疗效。
此外,JIN-A02对于携带罕见EGFR突变的细胞也有效。
JIN-A02在PDC(人源肿瘤细胞)模型中也表现出显著的疗效。在携带 EGFR ex19del / T790M / C797S 突变的 PDC YU-1097 细胞中,JIN-A02对 EGFR ex19del / T790M / C797S 的抑制作用强于奥希替尼,而在 EGFR WT A549 细胞中,EGFR WT活性在很大程度上保持不变 。
在携带 ex19del / T790M /C797S 异种移植小鼠模型的 Ba/F3 细胞中,JIN-A02在以 50 mg/kg 和 60 mg/kg 的剂量每日重复给药组显著抑制肿瘤生长,肿瘤生长抑制率分别为91.7%和95.7%。
在 YU-1097 PDC 异种移植模型中,39天以50 mg/kg重复给药组,有显著的肿瘤消退,肿瘤生长抑制率为132.9%,而用奥希替尼(25 mg/kg,每日一次)处理的小鼠的肿瘤生长未受影响 ,肿瘤生长抑制率为 51.7%。
所有给药组均未观察到显著毒性。
研究结果
这些临床前研究表明,JIN-A02是一种潜在的最佳第四代EGFR TKI,具有高效和选择性。JIN-A02对EGFR C797S突变表 现出强大的活性,包括单EGFR和双EGFR突变。它对L718Q也有效,目前没有治疗替代方案。JIN-A02有望为既往EGFR TKI进展 的患者提供治疗机会,未来的首次人体试验计划测试临床疗效和安全性。
05
OA03.03:索托雷赛联合小分子SHP2抑制剂RMC-4630治疗KRAS G12C突变非小细胞肺癌疾病控制率64%[5]
索托雷赛是一种特殊的、不可逆的KRAS G12C抑制剂,单药治疗KRASP有临床活性。本次研究报道了索托雷赛联合小分子SHP2抑制剂RMC-4630的安全性和有效性数据。
在纳入的11例非小细胞肺癌患者中:3例(27%)有确认部分缓解;7例(64%)疾病控制(部分缓解 疾病稳定)。
在接受最高剂量RMC-4630联合治疗的4例未经KRAS靶向治疗的非小细胞肺癌患者中:3例(75%)确认部分缓解,其中2例仍在持续缓解,4例(100%)疾病控制。
有1例患者在既往索托雷赛治疗后疾病进展,在联合RMC-4630治疗5.5个月后肿瘤缩小超30%,治疗6.9个月时疾病进展。
安全性方面,没有任何患者出现≥4级治疗相关不良事件。
研究结果
索托雷赛联合RMC-4630治疗治疗KRAS G12C突变非小细胞肺癌疗效显著且安全可控。
06
OA03.04:在研新型靶向药GDC-6036,有望治疗KRAS G12C突变非小细胞肺癌[6]
GDC-6036是一种口服、高效的、选择性的KRAS G12C抑制剂,在多种临床 前模型中表现出强效的肿瘤生长抑制作用。本次会议提供了GDC-6036单药治疗非小细胞肺癌患者的数据。
截至2021年10月29日,37例非小细胞肺癌患者纳入研究,研究治疗的中位时间为3.5个月 (范围:0-9.7个月),中位累积剂量强度为99%。而在不同剂量水平上证实的客观缓解率为37%(13/37)。在非小细胞肺癌患者的多剂量水平下,患者达到了约90%或更高的目标参与。
研究结果
在具有KRAS G12C突变的非小细胞肺癌患者中,GDC-6036表现出令人鼓舞的临床活性和高靶点参与水平。
07
OA03.05:特泊替尼治疗非小细胞肺癌METex14跳跃突变患者疗效显著,对脑转患者也有效[7]
目前作用于METex14跳跃突变的靶向药物有:克唑替尼、卡马替尼、特泊替尼、赛沃替尼等。本次会议上报告了特泊替尼VISION研究最新的疗效数据。
该研究包含A组(初步分析)和C组(确认分析),本次会议报道了C组和A C组的合并分析结果。
研究结果
除此之外,在A C组中共有43例脑转移患者,30例(69.8%)曾接受过脑补放疗或手术治疗;使用特泊替尼一线治疗23例,二线治疗20例。结果如下:
颅内无进展生存期为20.9个月
疾病控制率为88.4%
在仅有靶病灶的患者(n=15)中:
颅内缓解持续时间未到达
颅内客观缓解率为66.7%
该研究证实了,特泊替尼治疗非小细胞肺癌METex14跳跃突变患者疗效稳定并持久,且具有良好的颅内活性。
08
OA03.07:国产新药D-1553治疗KRAS G12C突变非小细胞肺癌患者疗效良好,安全性可控[8]
D-1553是一款在研新药,是一种KRAS G12C口服生物可利用抑制剂。在本次会议上上海交通大学附属胸科医院肿瘤科主任陆舜教授为大家报告了该药物I期剂量递增研究中的疗效与安全性。
截至2022年5月9日,该研究共纳入79例非小细胞肺癌患者,男性患者占70例,中位年龄为65岁。其中42例患者接受过二线及以上的治疗,中位随访时间为21.7周。
研究结果
在79例患者中:
53例(67.1%)患者仍在接受治疗
没有报告剂量限制性毒性,未达到最大耐受剂量
68例(86.1%)出现与治疗相关的不良事件,无5级以上不良事件
在研究中全部剂量分组的73例患者中,评估肿瘤反应:
29例患者达到部分缓解
38例患者达到疾病稳定
客观缓解率为39.7%;疾病控制率为91.8%
3例患者有可测量的脑转移病灶,其中1例达到部分缓解,2例达到疾病控制
该研究未达到中位缓解持续时间,其中29例缓解患者中有25例患者仍在继续缓解
14例患者中位缓解时间超过12周,无进展生存期也未达到,57例(78.1%)患者疾病仍未进展
在I期试验中,D-1553对于治疗KRAS G12C突变的非小细胞肺癌患者表现出良好的抗肿瘤疗效,该研究仍在持续进行中。
科普君总结
奥希替尼耐药了该怎么办?检测出罕见靶点还有靶向药可用吗?以往科普君面对觅友们的提问总会有些心有余而力不足。不过,随着医学发展,各种治疗手段日新月异,各种治疗都迎来了突破性的进展,相信这些难题终有一天会被解决。
收藏
回复(2)参与评论
评论列表






