【研究速递】| 朱康顺教授:打破一线耐药困局,瑞戈非尼联合PD-1方案有望成为肝癌二线治疗新标准
近日,广州医科大学附属第二医院微创介入科主任朱康顺教授团队在Journal of Hepatocellular Carcinoma(2020年影响因子5.828)发表关于瑞戈非尼联合PD-1单抗对比瑞戈非尼单药二线治疗晚期肝癌患者的多中心回顾性研究,研究结果显示,瑞戈非尼联合的客观缓解率(ORR)、疾病控制率(DCR)、无进展生存期(PFS)以及总生存期(OS)等4项生存指标均有显著提升。这一结果也为晚期肝癌二线治疗带来新的启示。基于此,《中国医学论坛报》特邀通讯作者朱康顺教授对研究进行深入解读,并畅谈中晚期肝癌治疗格局及未来发展方向。现将访谈内容整理如下,供读者交流讨论。
【专家介绍】
朱康顺 教授
广州医科大学附属第二医院微创介入科主任
主任医师,教授,博士生导师
中华医学会介入放射学专业委员会委员
中华医学会肝病学会肝癌学组委员
中国医师协会介入医师分会委员
中国抗癌协会肿瘤微创专业委员会常委
中国临床肿瘤学会(CSCO)消融委员会常委
国家卫生健康委原发性肝癌诊疗规范制定专家
广东省医院协会介入医学分会主任委员
广东省医学会介入医学分会副主任委员
广东省医师协会介入医师分会副主任委员
广州市医学会介入医学分会主任委员
主持国家自然科学基金面上项目5项
在 J Clin Oncol,Radiology,Cancer Letters等发表论文60篇
【访谈实录】
您在肝癌领域已深耕多年,近年来也有多篇重磅研究发表在国内以及国际期刊,希望您可以从全程管理的角度谈谈当前肝癌系统治疗面临的主要困境是什么?
朱康顺教授:自2007年小分子酪氨酸激酶抑制剂(TKI)索拉非尼上市之后,靶向药物逐渐成为中晚期肝癌系统治疗的基石,并延续至今。但包括索拉非尼和仑伐替尼在内的一线靶向治疗药物,仅仅可为患者带来3.7-7.3个月的中位PFS。因此,疾病进展或耐药的发生是绝大多数肝癌患者需要面对的棘手问题。一线治疗进展后,患者将进入二线治疗阶段,而二线患者的体力状况也较一线患者更差,这为后线治疗带来更多困难。目前瑞戈非尼作为肝癌标准二线治疗药物,可在一定程度上延长患者OS,但仍无法满足患者不断提高的生存期待。因此,突破当前HCC的二线治疗格局、延长患者整体生存期迫在眉睫。
近日您所带领的团队在Journal of Hepatocellular Carcinoma上顺利发表了肝癌二线治疗相关的研究,引起广泛关注,为肝癌二线治疗带来了极具思考价值的观点。请您为我们简要介绍下该研究的设计思路以及亮点结果。
朱康顺教授:近年来,在免疫治疗的浪潮之下,肝癌的系统治疗逐渐开始了靶免强强联合的探索之路,国内外一些研究结果已证实靶免联合在中晚期肝癌患者中应用的安全性。在此背景下,广州医科大学附属第二医院牵头进行了本次多中心研究。该研究回顾性收集2019年1月至2020年12月这两年间,瑞戈非尼联合信迪利单抗(联合组)或瑞戈非尼单药(单药组)二线治疗的晚期HCC患者,最终联合组入组患者58例,单药组入组患者55例。两组患者除了在基线方面无显著差异,在Child-Pugh B期患者比例、一线治疗时长、瑞戈非尼用药剂量以及二线治疗时长等方面也无显著差异,最大程度上保证了研究结果的临床参考价值。
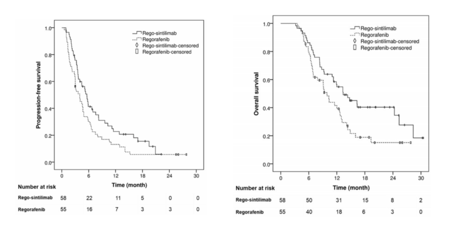
在联合组中位随访12.8个月、单药组中位随访8.3个月后,本次研究的结果也正式出炉,联合组实现“全胜”。首先,在疗效评估方面,无论是采用mRECIST标准还是采用RECIST标准,与单药组相比,联合组的ORR(mRECIST:36.2% VS 16.4%,P=0.017;RECIST 1.1:24.1% VS 9.1%,P=0.033)和DCR(mRECIST:74.1% VS 56.4%,P=0.047;RECIST:74.1% VS 54.5%,P=0.029)均更优(见表1)。其次,在生存获益方面,联合组表现也显著更佳[中位PFS 5.6 VS 4.0个月(P=0.045)、中位OS 13.4 VS 9.9个月(P=0.023)](见图1)。最后,在安全性方面,两组均未发生治疗相关的死亡事件。两组间整体不良反应发生率无显著差异。
表1:两组间疗效评价表
图1:两组间生存获益数据
除此之外,在独立影响因素的分析中,我们也收获了一些关键数据。对于OS而言,瑞戈非尼单药、Child-Pugh B期、中性粒细胞与淋巴细胞比值(NLR)>3.6是独立预后不良因素。对于PFS而言,独立预后不良因素则包括瑞戈非尼单药、甲胎蛋白(AFP)水平、NLR>3.6。进一步的亚组分析显示,在NLR≤3.6的患者群体中,瑞戈非尼联合PD-1单抗方案显示出生存获益优势,但这一优势并未出现在NLR>3.6的群体中。
由此我们也得出,对于索拉非尼或仑伐替尼一线治疗进展后患者,瑞戈非尼联合PD-1单抗方案是安全的,与瑞戈非尼单药相比,在肝癌二线治疗中具有更优的OS获益,尤其是在NLR≤3.6的群体中,优势更大。
如本研究结果所展示的那样,瑞戈非尼联合PD-1单抗在肝癌二线治疗中实现了“全胜”,您认为该研究将对临床工作带来哪些启示?
朱康顺教授:本次研究发表在国际期刊,得到了国际同行的认可,也让世界听到了中国声音、看到了中国经验。我认为,本次研究作为肝癌二线治疗的“探路者”,为临床工作带来了非常多的启发。
首先,以靶向治疗为基础的肝癌系统治疗耐药问题仍然是临床医生高度关注的问题,在发生机制方面,Cross Talk的探索由来已久,在包括乳腺癌、肺癌、结直肠癌等多个瘤种均存在Cross Talk现象。信号通路将各个信号串联成线在肿瘤的发生发展中发挥各自独立作用,同时,不同通路间某些信号的Cross Talk使信号传导成为一个网络。因此,虽然通路中某个靶点被抑制,肿瘤细胞可以通过Cross Talk机制使其下游信号重新被激活,从而产生耐药。研究表明,在诸多相关靶点中,EGFR高表达及其下游信号通路激活是引起肝癌系统治疗耐药的主要原因之一。瑞戈非尼可阻断EGFR通路以及和EGFR发生Cross Talk的多条通路,因此,瑞戈非尼在肝癌二线治疗中的优异表现可能也和其深度阻断Cross Talk密切相关。
其次,瑞戈非尼在免疫联合增效方面也得到了其独特的“4A”机制支持,即抗血管生成、抗免疫抑制、抗肿瘤细胞增殖和抗肿瘤转移。其中,通过抑制VEGFR-1/2/3、TIE-2、PDGFR以及FGFR-1/2作用靶点可抗血管生成;抑制CSF-1R靶点可起到抗免疫抑制作用;通过阻断多种蛋白激酶、抑制在细胞增殖中起重要作用的KIT、RAF等作用靶点可抗肿瘤细胞增殖;以及通过抑制内皮细胞增殖和迁移中发挥重要作用的VEGFR-1/2/3靶点、阻断在肿瘤转移中发挥作用的PDGFR靶点,起到抗肿瘤转移的作用。
再其次,我们在亚组分析中也获得了极具指导价值的内容。尤其是目前肝癌免疫治疗仍缺乏高效的预后预测因子,但在本次研究中发现,NLR≤3.6的群体更能从联合治疗中获益。另外,一线应用仑伐替尼的患者更能从联合治疗中获益,可能与瑞戈非尼靶点更丰富,通过Cross Talk机制扭转仑伐替尼耐药有关。我想,这两点将为临床工作者带来一些实践参考。
最后,我们知道Child-Pugh A期患者的生存预后显著优于Child-Pugh B期患者,瑞戈非尼相关的研究通常只纳入Child-Pugh A期的患者,而本研究纳入了36.2%(联合组)和36.4%(单药组)的Child-Pugh B期的患者。另外,本次入组的患者中,ECOG评分1分的患者比例较高(联合组:39.7%;单药组:50.9%)。这一入组情况在以下2个方面为我们带来了启发:一方面,这一患者结构比例更符合中国国情,能反应临床实际情况,使得研究结果更具指导意义;另一方面,在这样的入组基线下,瑞戈非尼联合组仍取得了出色的结果,实际上更彰显了瑞戈非尼联合免疫方案的不俗实力,尤其是两药联用并未增加不良反应发生的风险,安全可靠。
当然,未来仍需要随机对照研究进一步验证该方案的安全性和疗效,从而推进瑞戈非尼联合PD-1方案成为晚期肝癌二线治疗的标准治疗方案,进一步延长该群体的总生存期,造福患者。
排版编辑:肿瘤资讯-H.K.
收藏
回复(1)参与评论
评论列表






