权健密码:幸存者偏差
权健密码:幸存者偏差
引语
幸存者的辩护词
今天,可能还有很多人在为权健辩解。
我得了白血病的七舅姥爷,正是相信了权健的细胞疗法才康复的。
我瘫痪在床的三外甥的女儿,也是用了“火疗”开始下地了。
…………
这些为权健辩护的人,并不一定全是水军,他们不是骗子,甚至是一个温和善良的人,可能真心认为权健给他的朋友带来好处,所以他们支持这家“民族企业”。
只是他们不知道这些数据并不代表真相,这些貌似真实的案例后面,是一个统计学魔鬼在玩魔术,这个魔鬼的名字叫“幸存者偏差”。
正是这个魔鬼,一直为这些保健品企业涂脂抹粉,保驾护航。
它是很多保健品企业的生存密码。

01
你越认真,离真相越远
幸存者偏差又叫“幸存者谬误”,反驳的是一种常见逻辑谬误,即只看到经过某种筛选之后的结果,忽略关键信息。
这涉及到数学的一个分支,也是统计学中的概念:越是认真观察眼前的真相,你离真相越远。
权健的辩护者肯定不会这么认为,这些案例就发生在自己身边呢,不可能骗人。
他们只看到了一部分幸存者,却没意识到这些幸存者只是极个别的数据。
以深圳地铁为例,很多人在早高峰和晚高峰的时候,都会在前胸贴后背的沙丁鱼罐头型地铁里,感受城市海量人口。每天挤这样的地铁,很多人肯定会认为车票让地铁公司赚大发了。
地铁每条线光是开发的投入就需要上百亿,再算上其他的人工、日常运营与维护费、银行贷款的费用,远不是通过客流量的票价就可以回本的。而且地铁是国家民生工程,相当于公益项目,票价不能过高。所以地铁入不敷出就成了常态。
上班族之所以认为地铁总是人满为患,是因为每次他们都在客流量最大时,比如早、晚高峰期乘坐地铁。但地铁客流并不是稳定的,很多时候“空车”现象也并不少,只是那时候大多数人都在上班,并不知情罢了。
你观察得越仔细,体验得越多,其实得到的结果偏差越大。
在日常生活中,最明显的例子就是“我亲戚吃了某偏方好了”或者“我一个朋友去找了这个老中医”等等,这些你认为非常准确的数据都属于偏差数据,并不能得出一个理性结论。

02
统计学笑话:没来的同学举手
“幸运者偏差”的统计概念,最开始是来自于二战期间。
“二战”期间,为了加强对战机的防护,英美军方调查了作战后幸存飞机上弹痕的分布,决定哪里弹痕多就加强哪里。
然而统计学家沃德力排众议,指出更应该注意弹痕少的部位,因为这些部位受到重创的战机,很难有机会返航,而这部分数据被忽略了。事实证明,沃德是正确的。
很多时候你统计的数据与你要调查的结果没有任何联系,甚至与你要调查的结果正好相反。
再举几个例子:
例子1:有记者在春运的候车厅里,采访买票情况,得出结论:虽然春运票不好买,但大家都买到了票。
例子2:淘宝上卖降落伞的商家都没有差评。
例子3:大学里有个全校出勤率第一的老师,她的诀窍就是每次点名都说:“没来的同学举手”。
没来上课的同学不会举手,想要给降落伞差评的人再也没有机会打开淘宝。
这也说明了“幸运者偏差”在统计上的本质:其统计结果是经过筛选后的结果,并不是随机的,因此也不具备普适性,所以不要轻易相信那些直销者的话。
所以,如果你真的以为“六个核桃”真能给人补脑,那么你的智商也就停留在刚刚直立行走的年代。

03
沉默的大数据与“死人不说话”
你的朋友专程来你的城市看你,三天后你开车20公里送他到机场。
你对他招手说道:“兄弟,一路顺风,注意安全。”
这句话听起来没有什么问题,但事实上,这句话更应该由他来对你说,而不是你对他说。
根据对不同交通工具的死亡人数统计,小汽车每行驶十亿公里死亡人数为3.1人,水路2.6人,铁路0.6人,公交车0.4人,而飞机只有0.05人。
被你送上飞机的朋友,其实比即将开汽车回家的你,更安全!
那么,为什么我们会有飞机失事率高,不安全的印象呢?
因为飞机失事的每一次数据都被记录。2014年,马航MH370失事,铺天盖地的新闻报道,甚至让许多人都不敢再乘坐飞机,一时人心惶惶。四年后,关于马航MH370零星碎片的消息,仍然是网友们的关注焦点。
汽车的事故非常多,但报道非常少见,死人不会说话,大数据在沉默。稀松平常的事情,媒体是没有兴趣报道的。
当你或你的亲人得病之时,是不是经常有人会适时出现,并一本正经地推荐保健品或者给你一些偏方?推荐完,还斩钉截铁地告诉你,这个绝对好,绝对有用,我家的谁谁谁就是这么治好的。
他不知道很多人吃了这些“糖水”后并没有任何起色,有些人甚至因此耽误了正规治疗时间,最后无可救药后悔莫及。
这次权健事件,就是因为“死亡数据”在说话。

04
期望值是“幸存者偏差”的帮凶
总听说一些神奇偏方,还有什么江湖神医。
但却很少听到有人说哪家医院某某专家是华佗转世。
为何在这一点上,“幸存者偏差”表现得比较明显?
原因在于,大多数人对医院的期望值较高,理所应当地认为,医院一定能治好我们的病。
如果我们在正规医生的诊断下,治好了病,很少有人会去宣传这家医院,反倒是这家医院没有达到我们期望的效果,我们才会表现不满和失望。
而相比之下,对于这些偶尔得来的治病渠道,用户期望值较低。对偏方、保健品等等抱着试试看的心态,就算没有效果,也不会到处传播。
如果有效果,哪怕是出于零丁的心理安慰,我们也会觉得有用,如果它恰好能让你有所康复,那么你便很有可能会大张旗鼓四处宣传。
因此,哪怕100个人中,有1个人被这个偏方治好,这个人也会成为该偏方的“忠实粉丝”,为它热情宣传,这是任何互联网产品都很难达到的水准。
这里同时也涉及到了一些另外的心理因素,每个人都希望在他人面前提升自己的价值感,其中就体现在可以为他人提供独到的价值信息,而偏方就刚好具备价值独有性。

05
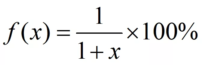
幸存者偏差公式
稍微理性思考下,我们就可以总结出一个幸存者偏差公式。

这个公式非常简单,f(x)代表了事件的正常概率,x是与该事件相关的有效数据。
很多时候,x的数据是9,而在权健这样的企业被偷换为0,10%的概率被吹嘘成100%;
有些时候,x的数据是99,而在天狮这样的企业被取代为0,1%的概率被吹嘘成100%。
所有的保健品公司都会强化一些特殊案例,目标就是让人忽略那些“沉默的有效数据”。
幸存者偏差的统计中,人们总是关注自己看得到的事物的特征,但是忽略看不到的事物的特征。亦或者是忽略了无法幸存下来的事物的特征,因此会看不到导致结果的实际原因,得出各种错误结论。
每个人大脑的理性程度不一样,但在很多事情上,由于有些人将规避危险的系统人为地放大,就容易暂时性地丢失理性,如牛一般被牵着鼻子走,以至于完全感知不到我们正在掉入“幸存者偏差”的陷阱之中。
06
利用幸存者偏差:
你也可以成为大神
权健这样的企业,大部分时候就是在利用幸存者偏差理论。
利用同样原理,你也可以混个大神当当。
以赌球为例,当大神的成本很低,方法也很简单。
在第一轮赌球中,你把输赢两种结果,各分成50条短信,发送到100个人手中,等到比赛结束,一定会有50个人,拿到了正确的“预言”。
第二轮赌球,再各发25条,到上一轮的50位“幸运者”手中,又会有25个人拿到正确的答案。
以此类推,多轮下来,“幸存者”就诞生了。如果刚巧,这位幸存者并不知道“幸存者偏差”的理论,那么恭喜你,他一定会心甘情愿奉你为“大神”。
这也正是幸存者现象,世界的关注点永远在那些偶然的成功者身上,却忽略了上万倍没被概率选中的失败者。
这是骗子经常用的手段,不谈基数的概率都是耍流氓,我们总听说股神赚了多少,却不知道就住在自己隔壁的老王赔了多少。这是因为“幸存者偏差”的存在,让我们只能看到别人的成功,而更多失败的人,我们选择视而不见。

07
如何躲过幸存者偏差?
幸存者偏差,表面上看属于数理统计、逻辑学的范畴,但很多时候也涉及人性。
❶首先要意识到了“沉默证据”的存在,你才有机会获得更全面的认知。看惯了朋-友-圈、抖音的朋友总是容易产生一种想法:买名牌包、吃豪餐、国外旅游已经是中国常态。
但拼多多的崛起让“沉默证据”发力:原来购买廉价产品,为了几毛钱动员砍价的人,才是中国人口最广群体。
耳听不一定是真,眼见也不一定为实。需要打破惯性思维,躲开显性证据,看到背后的隐形证据。
❷让死人说话。以2000多年前罗马的思想家西塞罗讲的故事结尾:有人把一幅画给一位无神论者看,画上画着一群正在祈祷拜神的人,并告诉他,这些人在随后的沉船事故中都活了下来。
无神论者淡淡一问:我想看看那些祈祷完被淹死的人的画像在哪儿?
保健品行业不知道害过多少人,如果这些人真的能复活过来说话,哪里还轮得到权健这样的企业。
❸学好数学,学好统计学。举个例子,基金行业会对外宣布,过去10年,基金行业的整体收益率超100%,你是不是觉得买基金肯定赚翻了?
实际上,如果你懂数学,你就能发现有问题:基金行业统计的,全是现在市场上活着的基金,那些不赚钱死掉的,都没算进去。如果把死掉的那些也考虑进去,那基金的整体收益率其实很一般。
虽然对许多人来说,计算过程枯燥乏味,但这是对理性思维的锻炼。数学将我们的逻辑编织得更加紧密,能够看透复杂现象背后的本质。同时,去除偶像崇拜,摒弃神秘现象,控制人性贪婪,将有效防止被幸存者欺骗。

结语
不是每个人都是幸存者
几十年来,从505神功元气袋到响彻神州的太阳神;
从马俊仁的中华鳖精到“从农村包围城市”的三株口服液;
从号称补血的红桃K到正在吸血的权健全系列保健品;
吃再多外来的补品都没用,最重要的是补脑,最起码先搞清楚什么是幸存者偏差。
理解幸存者偏差,你会在权健万人大会的众声喧哗里,注意到“沉默的螺旋”的无声表达;
理解幸存者偏差,你就会在保健产品的群情骚动中,去寻找隐藏的真相和客观答案;
理解幸存者偏差,你就不仅能够看到马云“一将功成”辉煌,也能看到“万骨枯”创业者;
停止对幸存者的迷信,你听到的那些宣传,后面有无数同类的哭泣。
别再相信那些神奇的秘方了,你很容易被幸存者偏差欺骗。
如果你认为幸存者的答案也将属于你,这将是你一生最大的不幸。
收藏
回复(5)参与评论
评论列表
绿柳青青
开心快乐291






