肺粘液腺癌:预后指标之粘液表达
黏液性肺腺癌 (Invasive Mucinous Adenocarcinoma, IMA)是肺腺癌的一个罕见亚型,性质由其特殊,和其他的肺腺癌,甚至其他的大部分癌症都非常不一样。 今天学到的一个点是:粘液蛋白的表达类型(mucin pattern)可能是可以被用作预测肺粘液腺癌预后的指标之一。

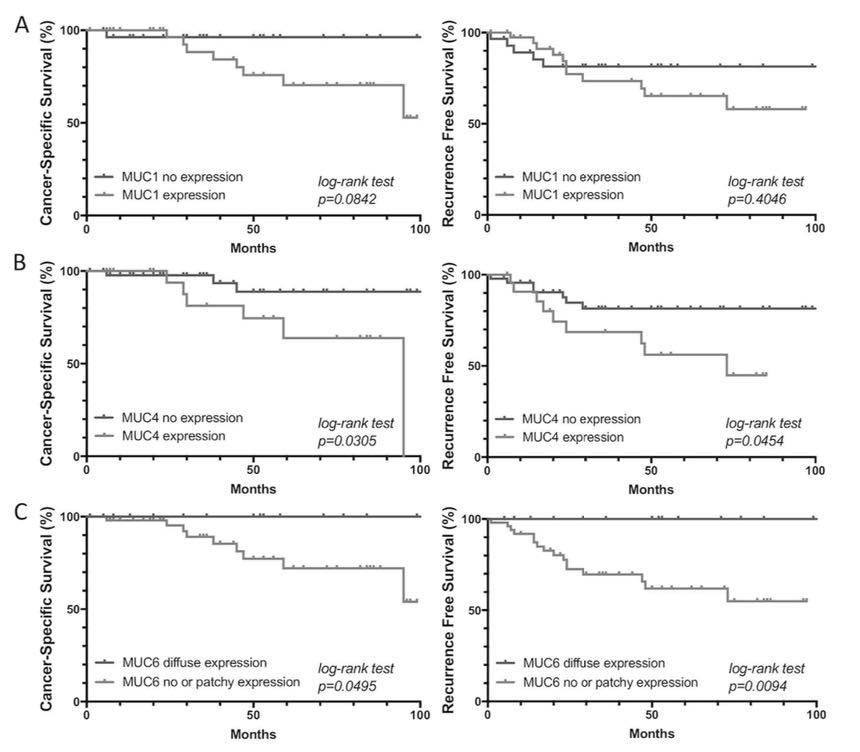
左列是生存期 (Cancer Specific Survival )的对比,以及右边是无复发时间(Recurrence-free Time)对比。
来自日本顺天堂大学医学院的一篇研究(影响因子 8.209)研究分析了 70 位 IMA 患者以及他们的粘液表达类型。一般而言,粘液表达分为两种,一种是 membrane-bound mucins,通常表达为 MUC1、MUC4;另一种是 secretory mucins,通常表达为 MUC2、MUC5AC、MUC6。这两种粘液表达都在 IMA 中被观察到,而 MUC5AC 最为常见。在观察的 70 例中,59% 观察到了 MUC1、3% 观察到了 MUC2、23% 观察到了 MUC3、99% 观察到了 MUC5AC、86% 观察到了 MUC6。
在 70 位患者中,50 位是 I 期患者,其他 20 位是 II 到 IV 期患者。 作者观察粘液表达模式,以及他们的生存期,发现 MUC1 表达可能会提示更高的术后复发率,以及更低的总生存期,而 MUC6 表达则会提示更长的总生存期。值得一提的是,带有 MUC6 高表达 (大于 90%)的19 位患者,截至发稿日无一因此疾病去世。

左列是生存期 (Cancer Specific Survival )的对比,以及右边是无复发时间(Recurrence-free Time)对比。
可以明显看到 MUC6 的表达显著的预测了更长的生存时间。
收藏
回复(4)举报
参与评论
评论列表
按投票顺序
父亲与肺鳞癌和解这个研究数据 很好,学习
举报
2023-10-09 18:54:11 有用(0)
回复(0)
mrd监测阴性muc6这类指标在哪里查到,免疫组化没有呢
举报
2023-10-23 21:26:38 有用(0)
回复(0)
含蓄的乌龙茶9379我妈妈也是粘液型为主的肺腺癌,奥西替尼可能耐药了,主治医生说化疗和免疫治疗对这个类型不起作用,让放弃,我想知道您家是怎么治疗的呢?我不想放弃
举报
2024-01-10 14:49:24 有用(0)
回复(0)
mrd监测阴性一样都是黏液腺癌hu_sh86
举报
2023-11-05 22:24:43 有用(0)
回复(0)
相关推荐
热点推荐
2013-11-19 14:23:04
爸爸确诊病情已经有11个多月了。一共做了8次大化疗,2次小化疗,以及35次放疗,上月返医院检查“瘤子”没有了。这一路走来,有多少的艰辛与泪水。在这里与大家分享爸爸的治疗过程。起初,拿到病例报告的时候,
2013-11-19 14:31:01
妈妈患肺癌已经有三年了,这三年来一直在接受治疗到现在,下面是妈妈检查以及治疗的过程。2010年10月,妈妈体检出肺癌IV期,纵隔淋巴转移,肝部转移,去省肿瘤医院复查,做了PET-CT,结果一样,省肿瘤
2013-11-19 15:04:43
2011年11月,妈妈被诊断肺癌,我在网上浏览了很多帖子,学到了很多,看到了一批又一批共同奋斗在抗癌战线上的战友。这15个月走下来,越来越体会到抗癌之路的艰辛,今天发个帖子,记录一下妈妈的治疗经过,也







