记录心情
战战兢兢,如履薄冰,心理压力大,希望能更坦然,希望内心能更坚强

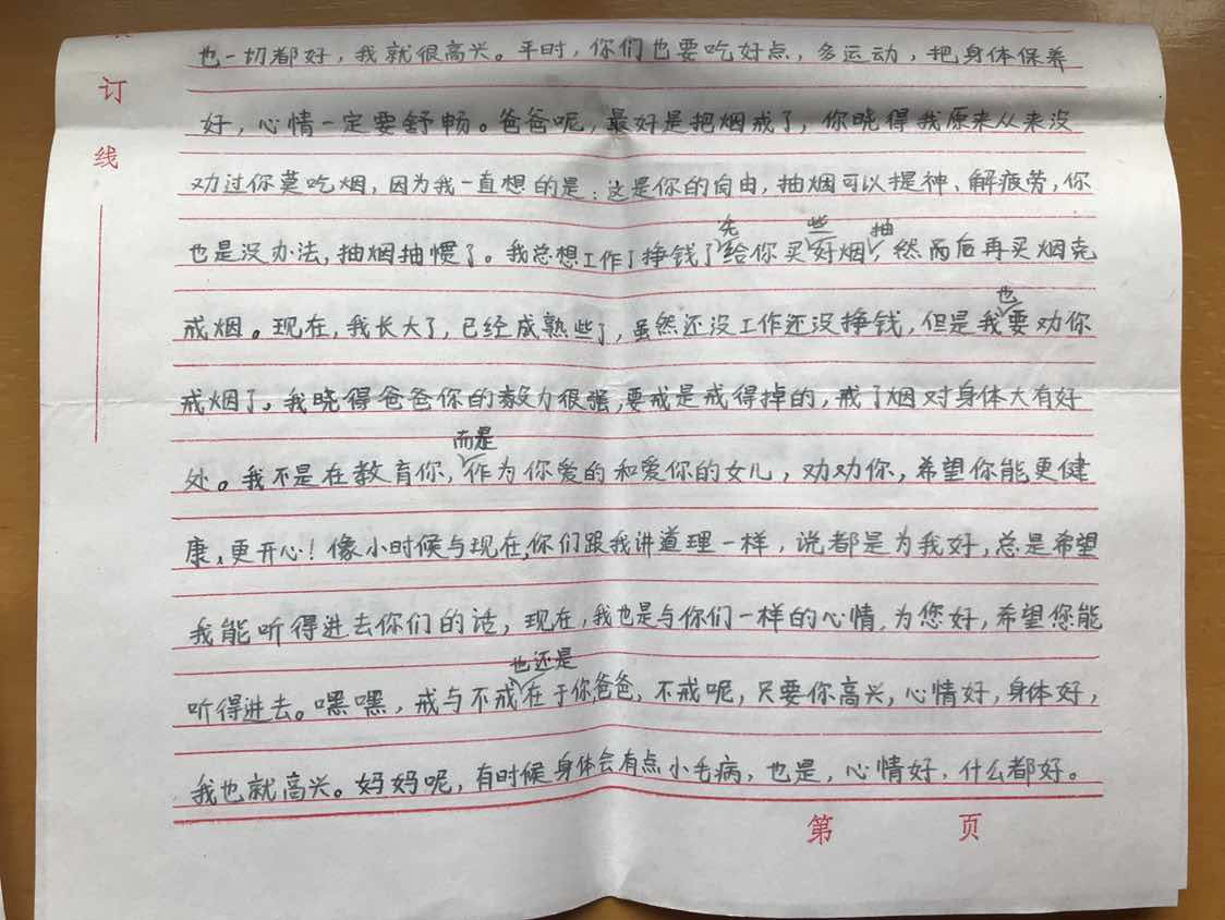
在家里整理以前的东西,发现了大学写给爸妈的信

其实从小心里就怕爸爸因为吸烟生病,毕业后在外地工作,又听见爸爸说单位每年有体检,就放松了忽略了。。。
收藏
回复(6)举报
参与评论
评论列表
按投票顺序
我家一样,我和儿子天天让他戒烟,就和害他是的!
举报
2018-12-06 20:58:33 有用(0)
回复(1)
田丝瓜致病有多种原因,不必自责与责怪。但是抽烟是有害的,控烟是必须的!现在看到中学门口一堆一堆抽烟的孩子,没有卖烟许可的小卖部一根一根地卖,唉……
举报
2018-12-06 21:41:28 有用(0)
回复(1)
体检检查出来的
举报
2018-12-06 20:17:26 有用(0)
回复(1)
相关推荐
热点推荐
暂无数据






