JCTH丨肝癌放疗新分期模型的构建与验证:一项国内多中心研究
·编者按·
放疗在肝癌综合治疗中的地位突显
建立针对肝癌放疗患者的分期模型尤为必要
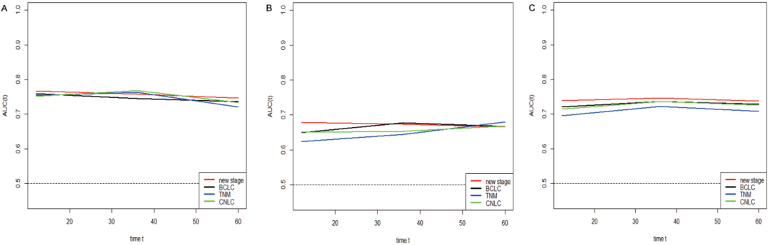
新分期模型可良好预测肝癌放疗患者的预后
图3. 比较不同分期系统的ROC曲线下面积:(A)训练组;(B)外部验证组;(C)整个队列。
通讯作者
苏庭世
肿瘤学博士,美国MD Anderson Cancer Center博士后(质子放疗方向),以第一作者(或通讯作者)在Int J Radiat Oncol Biol Phys、Radiotherapy and Oncology等杂志发表SCI论文十余篇,4项研究成果被引用于国内外肝癌指南&共识,包括《美国ASTRO肝癌放疗指南》、《中国原发性肝癌诊疗规范(2022年版)》、《CSCO原发性肝癌诊疗指南 2022》、《韩国肝癌诊疗指南(2018年版)》。主持国家自然科学基金1项、中华国际医学交流基金会项目1项、广西自然科学基金面上项目1项,担任人民卫生出版社《肿瘤放射外科治疗学》编委。
收藏
回复(0)举报
参与评论
评论列表
按投票顺序
相关推荐
热点推荐
2013-11-19 14:23:04
爸爸确诊病情已经有11个多月了。一共做了8次大化疗,2次小化疗,以及35次放疗,上月返医院检查“瘤子”没有了。这一路走来,有多少的艰辛与泪水。在这里与大家分享爸爸的治疗过程。起初,拿到病例报告的时候,
2013-11-19 14:31:01
妈妈患肺癌已经有三年了,这三年来一直在接受治疗到现在,下面是妈妈检查以及治疗的过程。2010年10月,妈妈体检出肺癌IV期,纵隔淋巴转移,肝部转移,去省肿瘤医院复查,做了PET-CT,结果一样,省肿瘤
2013-11-19 15:04:43
2011年11月,妈妈被诊断肺癌,我在网上浏览了很多帖子,学到了很多,看到了一批又一批共同奋斗在抗癌战线上的战友。这15个月走下来,越来越体会到抗癌之路的艰辛,今天发个帖子,记录一下妈妈的治疗经过,也






