国内肿瘤细胞免疫治疗,新一代MTCA-CTL技术问世!
分享一篇文章给觅友们,不要放弃希望!
对于国内细胞治疗领域来说,2016的魏则西事件是标志性节点。随着全球医疗界对细胞免疫疗法的新研究、新突破、新认识,其身份正在从“非主流”向“标准疗法的辅助”过渡,许多大型医疗机构都开始接纳它、研究它、应用它,细胞免疫疗法成为继PD1抑制剂后的“新宠”,在人类抗癌进程的春天里百花齐放,方兴未艾。
从资本过热的鱼龙混杂到魏则西事件后的行业停摆,很多企业和投资者闻风丧胆纷纷逃离了这一新兴领域。而真正的细胞治疗先驱者和领导者依然坚守着这份伟大的事业,在国内行业乱象逐渐厘清之后,真正让患者获益的正规前沿技术闪现光芒!
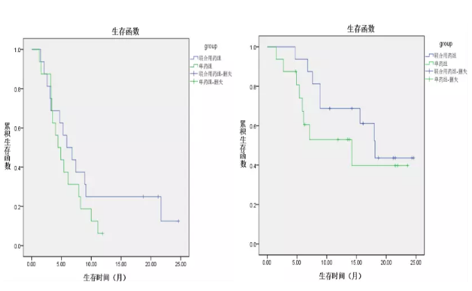
2017年3月,中国医科院肿瘤医院发布国内新一代细胞免疫疗法MTCA-CTL联合化疗治疗胃癌II 期临床研究数据,与化疗组相比,联合治疗组治疗不可切除胃癌(来自中国医科院肿瘤医院GCP中心)中位无进展生存期延长135天!中位生存期延长120天!
人的免疫力下降和缺失是导致癌症发生的关键原因,癌症又会破坏患者身体的免疫系统,肿瘤的生物免疫治疗是以现代分子生物学、细胞生物和分子免疫学等前沿科学为基础,恢复及提高患者免疫力,利用机体对肿瘤的防御机制,达到长期控制肿瘤生长,提高患者生活质量延长患者生存期的目的,是肿瘤治疗的先进技术,也是肿瘤综合治疗的重要组成部分。

细胞免疫治疗技术会在体外培养扩增患者自身的免疫杀伤细胞后回输到人体内,直接杀伤肿瘤细胞并激发机体抗肿瘤免疫效应,从而达到治疗肿瘤的目的。
据国内专注于肿瘤患者的诊疗服务平台--全球肿瘤医生网介绍,随着肿瘤诊疗技术的不断提高和对肿瘤生物学特征的深入认识,细胞免疫疗法不断升级换代,从第一代以LAK细胞为代表、第二代以CIK为代表、第三代以DC-CIK为代表的非特异性细胞免疫治疗,发展到第四代DC-CIK特异性免疫治疗,可以说是越来越精准,靶向针对性更强。目前,国内的免疫治疗技术已经更新至第五代,即MTCA-CTL免疫疗法。

MTCA-CTL免疫疗法在保证非 MHC限制性 杀伤性NK-T细胞扩缮的同时,定向扩增MHC限制性的CD8 特异性CTL细胞,使其在细胞培养产品中的 比率可达到60-70% 这两种杀伤细胞的共同作用,使杀伤癌细胞的效率更高。
1、安全有效、无毒副作用
免疫细胞治疗是用患者本人的免疫细胞用于治疗,除了轻微发热副作用的情况外,几乎没有更严重的副作用,对患者身体的负担极少。
2、更加精准的靶向杀瘤作用
与无抗原特异性,杀瘤作用较弱的传统细胞免疫疗法相比,全新一代MTCA-CTL兔疫疗法加入多种特异性抗原,具有更加精准靶向的杀瘤作用,并能够产生免疫记忆,诱导长期高效的肿瘤活性;
3、扩增数量庞大,提高杀瘤效果
全新一代MTCA-CTL兔疫疗法扩增效率约为200~1000倍,使细胞培养的数量达到100亿,提升杀瘤效果 ;
4、提高免疫,增敏放化疗效
MTCA-CTL兔疫疗法可在化疗48小时后使用,提升免疫力,降低化疗副作用,经过多疗程的加强治疗,可达到最好的治疗效果;
5、个体化定制专属细胞治疗方案
每个肿瘤患者体内的免疫细胞水平和状态都是不同的,在接受细胞免疫治疗之前,全新一代MTCA-CTL兔疫疗法在治疗前先进行体内免疫细胞检测,全面了解体内PD-1、NK、杀伤性T细胞等免疫细胞水平,从而掌握体内的免疫储备及反应情况,在此基础上,判断细胞治疗的种类和方案。

MTCA-CTL
中国医科院肿瘤医院发布国内新一代细胞免疫疗法MTCA-CTL联合化疗治疗胃癌II 期临床研究数据,与化疗组相比,联合治疗组治疗不可切除胃癌(来自中国医科院肿瘤医院GCP中心)中位无进展生存期延长135天!中位生存期延长120天!

治疗不可切除胃癌(来自中国医科院肿瘤医院GCP中心)中位无进展生存期延长135天 中位生存期延长120天

细胞免疫疗法理论上可以对应任何阶段的癌症,比如:
肿瘤手术前体质较差,术后恢复慢,且害怕隐匿性癌细胞没有被彻底根除的患者。
放疗、化疗后,免疫力低下,副作用反应明显(如食欲减退、恶心、脱发、皮肤炎症等),期望增加化放化疗效果的患者。
由于害怕放化疗的毒副作用,希望利用各种治疗手段实现治疗效果的患者。
肿瘤晚期癌细胞已经全身扩散,但常规治疗方法已无能为力,期望延长生存期,提高生活质量的患者。
需要注意的是,细胞免疫疗法对于晚期癌症患者肿瘤的缩小效果不明显,针对晚期癌症的患者在保持生活品质的同时有延长寿命的效果;作为术后的辅助治疗法可以抑制复发,治疗效果可维持较长时间;与化疗、靶向药、PD1抑制剂等其它疗法联合治疗,效果会更佳。
主要适用于实体肿瘤:头颈部肿瘤、食道癌、肺癌、胃癌、乳腺癌、肝癌、胰腺癌、结直肠癌、卵巢癌、子宫癌、肾癌、前列腺 癌、恶性黑色素瘤、肉瘤、部分恶性淋巴瘤。
※以下的人能不能接受治疗
HIV抗体阳性的人
接受内脏器官或骨髓移植的人
1、治疗开始前的检查
为了选择适合的治疗法,患者要进行免疫功能检查和免疫组织化学染色检查等各种检查。
2、治疗开始
根据检查结果或患者的情况,医生同意后开始治疗。
3、采血
首先进行第一次采血。采血的量和方法,根据治疗内容而不同。
4、细胞的培养、加工
5、免疫细胞点滴・注射
增殖、活性化的免疫细胞点滴和服用或根据癌症的部位和淋巴节注射
1、乳腺癌四期
乳腺癌晚期,肝转移、骨转移,经过MTCA-CTL免疫疗法治疗后,肿瘤标记物基本恢复正常。影像学检查显示肝脏病灶明显消退!

2、肺癌全身骨转移患者
四期肺腺癌,同时伴随脑转移,纵膈转移、全身骨转移,MTCA-CTL免疫疗法联合靶向治疗一疗程后,纵膈淋巴结转移灶明显缩小,全身骨转移基本消失!

相信细胞免疫疗法将打开一扇窗,为国内肿瘤患者康复求生新开一条路。
最后提醒广大癌症患者,虽然医学水平不断发展,治疗技术也在不断创新,但是至今为止,仍没有一种手段可以治愈肿瘤,肿瘤的治疗一定是依托于权威医院及权威专家的正规治疗,在采取常规治疗手段(手术、放疗、化疗)治疗后,根据自身的经济情况,辅助免疫治疗技术等综合疗法,达到巩固治疗,预防复发,提高生活治疗,延长生存期的目的。
来源: 环宇达康
收藏
回复(2)参与评论
评论列表






