邢卉春教授:门静脉高压与肠道微生态

随着“肝肠轴”的提出,肝病患者肠道微生态变化的研究成为热点,众多学者研究发现不仅肝病患者肠道菌群丰度及种类发生了变化,且肠道菌群对肝病的发生发展也起着重要作用。


在近日举办的第七届中国研究型医院学会肝病专业委员会学术年会暨第五届中国青年肝病医师论坛上,首都医科大学附属北京地坛医院肝病中心邢卉春教授分享了门静脉高压与肠道微生态的最新研究进展,重点就乙肝和酒精性肝病门静脉高压的肠道微生态特征进行了介绍,为临床治疗提供新的策略。报告内容整理如下。
图片

门静脉高压症是指门静脉压力增加、门静脉系统血流受阻和(或)血流量增加,导致门静脉及其属支血管内静力压升高,伴侧支循环形成的一组临床综合征,包括腹水、肝性脑病、食管胃底静脉曲张出血(EVB)等。总的来说,门静脉高压症是一种临床病理生理改变,伴随着消化道淤血等,造成这种情况的病因很多,但一旦已经发展到门脉高压,就会进一步引起相应的病理生理改变,其中肠道微生态紊乱是重要一环。


身体不同部位存在的菌群对人体健康都非常重要,其中肠道菌群最丰富[1]。肠道微生物是人体中最大的共生微生物集合,而肝脏由于其解剖位置及独特的血供系统易暴露于肠道的微生物之中并受其代谢产物的影响。正常状态下由于肠黏膜上皮构成屏障功能和肝脏的清洁解毒功能,可防止微生物或微生物产物转移到肝脏和体循环中。但当肠道菌群紊乱时,肠壁屏障功能被破坏,大量细菌或细菌产物可进入肝脏和体循环,并刺激机体的免疫防御及炎症反应,促进或加重了临床上显著门静脉高压的发生和发展


图片

图1.肠道菌群与肝脏疾病进展[2]
(引自Yixuan Wang, Calvin Q. Pan, Huichun Xing*. Advances in Gut Microbiota of Viral Hepatitis Cirrhosis. BioMed Research International. 2019, Article ID 9726786, 9)




乙型肝炎肝硬化门脉高压与肠道微生态失衡


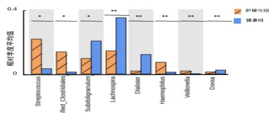
最新研究发现,乙型肝炎肝硬化门脉高压患者肠道菌α多样性减少, 随乙型肝炎肝硬化进展,肠道菌群物种总数、多样性、均匀度呈现逐步下降的趋势[3]。数据显示[3-4],乙型肝炎失代偿期肝硬化组较健康对照组粪便菌群物种数量、多样性均显著降低;肝硬化组链球菌属、梭杆菌属、韦荣球菌属、嗜血杆菌属丰度显著增加(P=0.049、0.01、0.009和0.009),毛螺菌属等丰度显著降低(P=0.001、0.011、0.01和0.017);与代偿组相比,失代偿组肠球菌属、链球菌属和乳杆菌属相对丰度显著升高(均P<0.05)。


图片
图2.健康对照组和乙型肝炎失代偿期肝硬化患者粪便微生物群多样性变化
(引自讲者幻灯)


图片

图3.乙型肝炎失代偿期肝硬化患者与健康对照存在显著差异的菌属
(引自讲者幻灯)



图片
图4.肠道菌属与临床指标相关性热图
(引自讲者幻灯)


FARPOTAX数据库功能预测结果表明,健康组与代偿组距离相近,菌群功能相似度高,失代偿组距离较远,菌群功能相似度低。健康组碳水化合物降解、芳香族化合物降解、发酵、尿素分解功能活跃,但随肝硬化发生及进展,上述功能降低且相似;代偿组患者氮代谢及硝酸盐代谢菌群功能活跃,失代偿组(门脉压增高)共生细菌、寄生虫、人类病原体尤其是腹泻相关病原体以及需氧化学异养菌群功能活跃。


图片
图5.门脉高压(乙肝肝硬化)菌群FARPOTAX数据库功能预测
(引自讲者幻灯)




酒精性肝硬化门脉高压与肠道微生态失衡


除了病毒性肝病,酒精性肝病也是我国最主要的慢性肝病之一,约50%的肝硬化是由酒精性肝病所引起。研究显示,酒精性肝病时肠道菌群无论在数量上、还是菌群构成比均有紊乱。基于Weighted Unifrac距离的主坐标分析考虑组间菌群物种差异及其丰度的影响,结果显示[5],PC1贡献了56.84%,PC2贡献了12.19%,健康对照组聚类为椭圆形,区别于酒精性肝硬化组聚类图形,两组群落的结构有所不同。β多样性分析结果也显示,酒精性肝硬化组与健康组在肠道菌群整体构成存在差异,且差异显著(P=1.33e-87<0.01)。
图片
图6.基于Weighted Unifrac距离的主坐标分析
(引自讲者幻灯)



图片
图7.基于Weighted Unifrac的Beta多样性分析
(引自讲者幻灯)



微生物分类特征及Beta多样性分析结果显示,与健康组数据相比,酒精性肝病组厚壁菌门、变形菌门富集,拟杆菌门显著降低(P<0.001);从属水平来看,酒精性肝病组大肠志贺菌属、克雷伯氏菌属、链球菌属、劳尔氏菌属、乳酸杆菌属等显著升高,拟杆菌属、普雷沃氏菌属、粪杆菌属显著降低。


图片
图8.酒精性肝硬化患者与健康对照存在显著差异的菌属
(引自讲者幻灯)




探索肠道菌群影响门脉压力的可能机制


肠道菌群在肠肝轴、尤其是肝硬化发生发展中有重要作用。肝硬化能够影响肠道微环境进而影响肠道微生态平衡,利用微生态制剂调节肠道菌群可以降低细菌感染发生率,改善肝硬化病情,但是关于肠道菌群参与病情发展很多还是理论推断,具体机制尚未达成一致。


根据门脉高压程度进行差异相对丰度测试,数据显示[6],具有显著(HVPG>10 mmHg)和严重(HVPG>12 mmHg)门脉高压的患者具有显著差异菌属的相对分布;MELD评分大于15分的,拟杆菌、大肠杆菌/志贺氏菌属和普氏杆菌属肝静脉或外周血中均富集(图9)。


图片

图9.MELD评分大于15分组差异相对丰度结果(火山图)

(引自Gut Microbes. 2022 Jan-Dec;14(1):2029674. doi: 10.1080/19490976.2022.2029674.PMID: 35130114)


Paneth细胞作为肠道先天免疫至关重要的特征性细胞,可分泌细胞因子,促进淋巴管的生成。动物实验结果显示[7],Paneth细胞可能有助于调节血管发育和门静脉高压进展,血管生成素-4(Ang-4)可能是这一过程的调节因子,同时门静脉高压本身也可以诱导Ang-4或诱导Paneth细胞内颗粒的发育,导致恶性循环。


图片

图10.肠道菌群与门脉高压GF动物实验结果
(引自HEPATOLOGY 2015;61:1685-1695)



图片
图11.门脉高压与肠道微生态相互影响示意图
(引自讲者幻灯)




诊断的标志物及风险预测(CDR/HBDI)


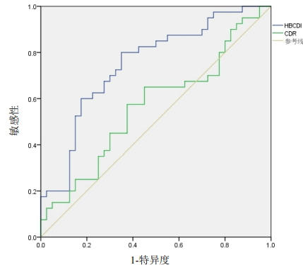
乙型肝炎失代偿期肝硬化患者存在肠道菌群失调,但如何定量评价其肠道菌群失调的程度是我们所关注的问题。既往常用的是微生态模型肝硬化失衡比值(CDR),即特定有益原籍菌科相对丰度与非原籍有害菌科比值;肝硬化患者CDR较正常人群下降,随肝硬化患者病情加重,CDR成持续下降。


邢卉春教授团队基于菌属层面,根据肠型信息建立了新的评估工具——乙型肝炎肝硬化肠道菌群失衡度比值[HBCDI, HBCDI=(肠球菌属 链球菌属 乳杆菌属)相对丰度/(瘤胃球菌属 普氏菌属 拟杆菌属)相对丰度]。数据显示[8]HBCDI可反映乙型肝炎肝硬化患者肠道菌群失衡程度,HBCDI越大肝病越严重


图片
图12.HBCDI及CDR诊断乙型肝炎失代偿期肝硬化的ROC曲线
(引自讲者幻灯)




肠道菌群或可作为门静脉高压的治疗靶点


目前批准的治疗临床显著门静脉高压的药物仅限于非选择性β受体阻滞剂(NSBBs)。近年来的研究结果显示,恢复肠道菌群平衡及维持肠道屏障功能对于门静脉高压的治疗具有重要意义。例如益生菌,特别是乳酸菌和双歧杆菌,促进黏膜屏障功能,调节肠道菌群,抑制病原菌生长。研究显示[9],联合益生菌(包含有双歧杆菌属、乳酸杆菌属、链球菌属的8种菌)可以增加对普萘洛尔的应答率(P=0.046)。此外,粪菌移植(FMT)也是近年来发展迅速的治疗方法,可改善门静脉高压及相关并发症(如出血等)的进展。


图片
图13.益生菌改善门脉血流动力学
(引自Liver Int. 2013 Sep;33(8):1148-57)






小 结

肠道菌群在肝硬化和门静脉高压的发生和发展过程中发挥着重要作用,他们之间相互影响,互为因果。肠道菌群直接或间接参与门脉高压的形成和进展,靶向于肠道微生态的诊治策略或可成为重要研究方向,肠道微生态研究有助于发现诊治门脉高压的新指标、新靶点。 


参考文献:(上下滑动查看更多)

1. de Vos WM, Tilg H, Van Hul M, et al. Gut 2022;71:1020–1032.

2. Tranah TH, Edwards LA, Schnabl B, et al. Gut 2021;70:982–994.

3. 王艺璇, 邢卉春. 乙型肝炎失代偿期肝硬化患者肠道菌群特征[J]. 中华实验和临床感染病杂志(电子版), 2019, 13(2): 110-116.

4. 王艺璇, 邢卉春. 乙型肝炎肝硬化患者肠道菌群失衡度与肝病严重程度的相关性[J/CD]. 中国肝脏病杂志(电子版), 2019,11(3):8-13.

5. China Lin Zhu, Huichun Xing. AASLD2021, P591.

6. Gut Microbes. 2022 Jan-Dec;14(1):2029674. doi: 10.1080/19490976.2022.2029674.PMID: 35130114.

7. HEPATOLOGY 2015;61:1685-1695.

8. Bajaj JS, et al. J Hepatol, 2014, 60(5): 940-947.

9. Liver Int. 2013 Sep;33(8):1148-57.


参与评论

更多
图片验证码

评论列表

更多
按投票顺序
爸爸确诊病情已经有11个多月了。一共做了8次大化疗,2次小化疗,以及35次放疗,上月返医院检查“瘤子”没有了。这一路走来,有多少的艰辛与泪水。在这里与大家分享爸爸的治疗过程。起初,拿到病例报告的时候,
Xxiaoxiao
100493 阅读
阅读全文
妈妈患肺癌已经有三年了,这三年来一直在接受治疗到现在,下面是妈妈检查以及治疗的过程。2010年10月,妈妈体检出肺癌IV期,纵隔淋巴转移,肝部转移,去省肿瘤医院复查,做了PET-CT,结果一样,省肿瘤
2011年11月,妈妈被诊断肺癌,我在网上浏览了很多帖子,学到了很多,看到了一批又一批共同奋斗在抗癌战线上的战友。这15个月走下来,越来越体会到抗癌之路的艰辛,今天发个帖子,记录一下妈妈的治疗经过,也
invay
38071 阅读
阅读全文